登录| 注册    
收藏  点赞 

脆虾片加工设备

以虾糜和淀粉为主要原料加工成龙虾片、对虾片、鲜虾片、鲜鱼片以及海味片等食品的鱼糜加工机械设备。中国的脆虾片生产始于20世纪50年代,现已基本上形成了一套系统的专业生产线,主要由可倾式夹层锅、调粉机、挤条成型机、卧式杀菌锅、硬化室、切片机、间接热风干燥机等组成。可倾式夹层锅 又称可倾式双重釜。用于物料的热烫、预煮及调味料配制。

以虾糜和淀粉为主要原料加工成龙虾片、对虾片、鲜虾片、鲜鱼片以及海味片等食品的鱼糜加工机械设备。中国的脆虾片生产始于20世纪50年代,现已基本上形成了一套系统的专业生产线,主要由可倾式夹层锅、调粉机、挤条成型机、卧式杀菌锅、硬化室、切片机、间接热风干燥机等组成。

可倾式夹层锅 又称可倾式双重釜。用于物料的热烫、预煮及调味料配制。主要由锅体、倾复机构、机架、排污阀、进汽管、压力表、安全阀、回水管等组成。锅体内壁是一个半球形与圆柱形壳体焊接而成的容器,表面光洁,用不锈、耐酸、耐热钢板制成。外壁也是半球形壳体,与内壁焊接成夹层加热室,一般需承受0.4兆帕的压力。操作时,蒸汽通过进汽管进入夹层,对物料加热。烧煮后,通过倾复机构,使锅体回转一定角度,将物料排出。

调粉机 又称合面机。用以均匀调和各种配料及淀粉制取成型的面团。主要由调粉桶、链轮、主电动机、摆线针减速器、桨叶、主轴、蜗轮倒桶机构、机架、副电动机等组成。调粉桶内壁衬有不锈钢板面,贯穿桶中心的主轴上装有6片搅拌桨叶,按一定轴向间隔并相互成120°装置,在桶侧壁上装有三把固定横切刀。原料进行搅拌时,由于桨叶的压力影响和反复旋转,形成对流混合、剪切、压缩及捏和等作用,使面团调制均匀,表面光润,且有一定的延展性。出料采用蜗轮倒桶机构,并装有限位器,以确保安全。

挤条成型机 为脆虾片生产专用设备。用于将调粉后的面团挤压成一定长度的条状面坯(图1)。主电动机功率一般不低于4千瓦。螺旋供料器采用两组左右旋向组合螺旋推进输送,每组由螺纹组合以增加强制挤压能力,使物料达到再搅拌、混合、挤压的作用。螺旋供料器的螺杆,其工作长度与直径一般取6~8为宜,直径取100~110毫米。螺旋采用等螺距单头螺旋。成型器由挤压腔和4~6只成型管构成。调制后的物料由螺旋供料器连续输送至挤压腔。按照物料的堆积密度和压缩程度,物料相互间产生挤压作用,从成型管中挤出。挤压成型的条状虾条需经牵伸机牵伸,其速度与螺旋供料器的输送挤压速度同步,否则,虾条将会粗细不匀和畸形。同时由于淀粉的粘度不同,挤压速度也不同,因此牵伸机需随之调整,由无级调速器控制,其线速度一般为1.4~2.0米/分。

挤条成型机结构示意图

卧式杀菌锅 用于虾条面坯的低压蒸煮。多用罐头生产用卧式杀菌锅,主要由锅体、锅盖、旋阀、减压装置、蒸汽管路、蒸卷车等组成。锅体为卧式圆柱形,锅内底部焊有轨道,用于蒸条车的进出。蒸汽从底部进入水平蒸汽管道对虾条进行蒸煮。锅体口的边缘凹槽内嵌有耐热橡胶圈,保证密封性。锅盖与锅体用自锁楔合块装置锁紧。锅体内部必须采用具有无毒、无味、耐热、操作简便等特性的材料。

硬化室 硬化即虾条由常温(20~25℃)降至0~5℃的过程。一般通过常温硬化和机械强制硬化两个过程。常温硬化是将蒸熟的虾条通过专用凉条架车降温。凉条间应具有一定高度(>3.5米),并配置轴流风机,以加速空气流通。机械强制硬化是将虾条摆放于专用库房内,强制降温至0~5℃,然后恒温冷藏60小时左右。硬化的目的是增加虾条淀粉的脆硬性和膨化性能,便于切片并使切面光滑。

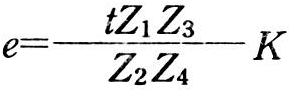
切片机 将硬化后的虾条切成薄片状的专用设备。①切片机构。由偏心轮、连杆、滑板、导轨、刀片、垫辊等组成。刀片装配在滑板上,组成滑动体,刀片通过曲柄连杆作往复运动,达到物料被切割的目的。刀片行程由偏心轮的偏心距控制。刀片向上滑动送料,向下滑动则切片。②送料机构。采用棘轮结构。由摇杆、棘爪、止动爪、棘轮等构成。主传动通过偏心轮带动偏置滑块使摇杆摆动,顺时针摆动则推动棘轮转过一定角度,通过齿轮传递给链轮,达到物料定量进给。进给量为:

脆虾片加工设备

式中 t为链条节距;Z1为与棘轮同轴啮合齿轮齿数;Z2为链轴啮合齿轮齿数;Z3为链轮齿数;Z4为棘轮齿数;K为系数(0.8~0.9),即切片厚度。逆时针摆动,棘轮则静止不动。③定位压紧机构。使物料在机械作用控制下有规则地排列,达到定位、定向、定量输送。主要结构包括链条输送压紧和刀前定位压紧两部分,其压紧力控制要适度。④动力传动机构。由电动机、二级变速皮带轮和啮合齿轮组成,进行动力传递。

间接热风干燥机 为隧道型干燥设备。主要由热交换器、送风机、干燥室、排风机、台车、自动控制箱等组成。热交换器由若干组绕有螺旋形翅片的束管进行热量交换。干燥室为组合箱体柜架式,其侧壁、顶壁采用刚性保温材料,可耐火、耐潮。自动控制箱用以控制送风机、排风机及蒸汽电磁阀。根据温度传感器测定的温度,随设定的烘干温度自动控制蒸汽流量,保持干燥室的温度。