登录| 注册    
收藏  点赞 

育种值

又叫遗传值(genetic value)。在数量遗传学中把决定数量性状的基因加性效应值定义为育种值。个体某个数量性状的育种值是通过本身或亲属的表型值及遗传参数进行估计的,这个过程叫作对种畜育种值估计。育种值估计的原理任何一个数量性状的表型值,都是遗传和环境共同作用的结果。遗传作用是基因效应造成的。基因效应分为显性效应、上位效应和加性效应。

种畜的种用价值。又叫遗传值(genetic value)。在数量遗传学中把决定数量性状的基因加性效应值定义为育种值。个体某个数量性状的育种值是通过本身或亲属的表型值及遗传参数进行估计的,这个过程叫作对种畜育种值估计。

育种值估计的原理

任何一个数量性状的表型值,都是遗传和环境共同作用的结果。遗传作用是基因效应造成的。基因效应分为显性效应、上位效应和加性效应。显性和上位效应在遗传给后代时,由于基因的分离和重组,在育种中不能被固定。所能固定的是基因的加性效应值,即育种值。从表型值估计育种值的公式是:

育种值

式中 A为种畜某性状的估计育种值;bAp为该性状育种值对表型的回归系数,即遗传力加权系数;户为种畜该性状的表型值;为该性状的群体平均数。由于p和为已知,因此计算bAp是估计育种值的关键。下表列出的是用不同来源的记录资料计算bAp的公式:

不同记录资料的遗传力加权系数公式

表中h2为1次记录的遗传力,即通常含义的遗传力为n次记录平均数遗传力为父或母n次记录平均数遗传力为全同胞均值的遗传力为半同胞均值的遗传力为混合家系均值的遗传力为全同胞子女均值的遗传力为半同胞子女均值的遗传力为混合家系子女均值的遗传力;n为记录次数或同胞数、子女数;t为多次记录的重复力,即组内相关系数;为混合家系的平均亲缘系数。计算混合家系的平均亲缘系数的近似公式是:

育种值

式中 d为与1头公畜配种并产仔的母畜数。

单项记录来源的育种估计

估计育种值可根据本身、亲本、同胞或后裔所提供的任何一种来源的表型值记录。

个体本身记录

一次记录 根据个体本身一次记录估计育种值的公式是:

育种值

式中 AX为个体x的估计育种值;h2为性状的遗传力;户x为个体x的一次记录表型值;为该性状的群体平均数。根据个体本身一次记录估计育种值时,不同个体按育种值排队的顺序和按表型值排队是一致的,把表型值转化为育种值的意义不大。

多次记录

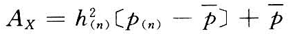
当群体中个体有多次记录,且记录次数不同,这时估计育种值的公式是:

育种值

式中 AX的定义如前;为n次记录平均数遗传力;p(n)为个体某性状n次记录的平均数

父母记录

当个体本身没有表型记录时,可以从系谱记载中的父、母亲记录估计育种值

一个亲本记录

估计育种值公式是:

育种值

式中 AX的定义如前;为该亲本n次记录平均数遗传力;p(pn)为该亲本n次记录的平均数

双亲记录

双亲同时有记录时,估计育种值的公式是:

育种值

式中 AX的定义如前;分别为父亲和母亲n次记录平均数遗传力;p(sn)和p(Dn)分别为父亲和母亲n次记录的平均数。父亲的记录次数和母亲的记录次数可以不等。

同胞记录

同胞间的关系可分为全同胞、半同胞和两者同时存在的混合家系(见家系)。

全同胞记录

根据全同胞记录估计育种值的公式是:

育种值

式中 AX的定义如前;为全同胞均值的遗传力,p(FS)为全同胞记录的平均数

半同胞记录

根据半同胞记录估计育种值的公式是:

育种值

式中 AX的定义如前;为半同胞均值的遗传力,p(HS)为半同胞记录的平均数

育种值

子女记录

子女的全同胞

估计育种值的公式是:

育种值

式中 AX的定义如前;为全同胞子女均值的遗传力;p(OF)为全同胞子女记录平均数

子女为半同胞

估计育种值的公式是:

育种值

式中 AX的定义如前;为半同胞子女均值的遗传力;p(OH)为半同胞子女记录的平均数

子女为混合家系

估计育种值的公式是:

育种值

式中 AX的定义如前;为混合家系子女均值的遗传力;户(OM)为混合家系子女记录的平均数

多种亲属资料的育种值估计

根据本身、亲本、同胞、子女中的两种或两种以上的记录资料估计的育种值,又叫复合育种值(multiple breeding value)。

计算公式

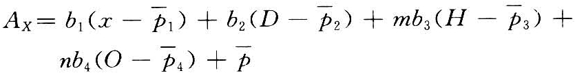
根据不同亲属资料的组合,计算复合育种值有多组公式。在同时具有本身、亲本、同胞、子女的记录资料的情况下,计算复合育种值的公式是:

育种值

式中 AX的定义如前;X、D、H、O分别为本身、亲本、同胞、子女的平均表型值;分别为本身、亲本、同胞、子女所在的畜群平均数;b1、b2、b3、b4分别为本身、亲本、同胞、子女记录在复合育种值中的偏回归系数;m为同胞头数;n为子女头数,计算复合育种值的关键是求出偏回归系数。

偏回归系数的求解

求解偏回归系数首先要根据亲属关系作出以下通径图:

亲属间的亲缘关系通径图

图中 AX为个体X育种值;X、D、H1…Hm、O1…On分别为个体、亲本、同胞、子女的表型值;m为同胞头数;n为子女头数;αX、αD、αH、αO分别为个体、亲本、同胞、子女的表型值到AX的通径系数;双向箭头表示亲属间的相关系数。为了图面清晰,仅画出了个体亲属间的相关,未画出不同亲属间的相关。

其次,根据通径图得出以下正规方程组:

αX+rXDαD+mrXHαH+nrXOαO=rXA

rXDαX+αD+mrDHαH+nrDOαO=rDA

rXHαX+rDHαD+〔1+(m-1)rHH〕αH+nrNOαO=rHA

rXOαX+rDOαD+mrHOαH+〔1+(n-1)rOO〕αO=rOA

方程组中,r..为亲属间的相关系数(..为相应的下标);α.为通径系数(.为相应的下标);m为同胞头数;n为子女头数。

各亲属间的相关系数由下面矩阵给出:

育种值

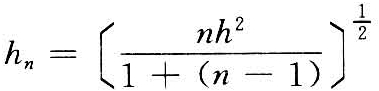
矩阵中 hX、hD、hH和hO分别为X、D、H和O的遗传力的平方根;i=1,2,…,m;j=1,2,…,n。计算hX、hD、hH和hO的公式是:

育种值

式中 hn为n次记录遗传力的平方根;h2为性状的遗传力;n为记录次数或同胞、女儿的头数;t为性状表型值的组内相关系数。

最后,根据通径系数和遗传力的平方根求出相应的偏回归系数:b1=αXhX;b2=αDhD;b3=αHhH;b4=αOhO。将偏回归系数代入复合育种值公式即可算出每头种畜的复合种值。根据同样原理,也可以计算由其他不同亲属资料组合的复合育种值

相对育种值

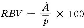
以群体平均数为标准的育种值。把等于群体平均数育种值定为100,超过100越多的个体表示种用价值越高,低于100的个体不作种用。计算相对育种值的公式是:

育种值

式中 RBV为相对育种值;为用任何一种方法计算得到的育种值为畜群平均数。相对育种值没有单位。