登录| 注册    
收藏  点赞 

土壤容重

田间状态下单位容积土体的干质量。曾称土壤假比重。它是计算土壤孔隙度、估算土壤水分和养分储量及评价结构性等必要的基本参数。土壤容重值一般介于1.0~1.5克/厘米3间。风干沉实后的表土的容重约为1.25~1.35克/厘米8。刚耕翻的农地表层及泡水软糊的水田耕层的容重可小于1.0克/厘米3,大型机具压实的表土以及自然堆积紧实的底土,容重可大至1.4~1.6克/厘米3。

田间状态下单位容积土体的干质量。曾称土壤假比重。它是计算土壤孔隙度、估算土壤水分和养分储量及评价结构性等必要的基本参数。土壤容重值一般介于1.0~1.5克/厘米3间。风干沉实后的表土的容重约为1.25~1.35克/厘米8。刚耕翻的农地表层及泡水软糊的水田耕层的容重可小于1.0克/厘米3,大型机具压实的表土以及自然堆积紧实的底土,容重可大至1.4~1.6克/厘米3。在土工建筑工地,土壤夯实后的容重可高达1.8~2.0克/厘米3

应用

主要有如下几方面:

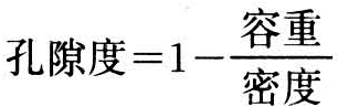
计算土壤孔隙度

根据实测土壤的容重与密度,按下式计算:

土壤容重

计算农地土壤质量及工程土方量

①计算土壤质量。如1公顷的耕层,厚0.3米,平均容重为1.25克/厘米3(即1.25吨/米3),则其土壤质量为:10000米2×0.3米×1.25吨/米3=3750吨。②计算工程土方量和土壤质量。如在土工建设或土地整理工程中,有2000米2面积应挖去0.2米厚的表土,其容重为1.3吨/米3,则应挖去的土方为2000米2×0.2米=400米3,土壤质量为400米3×1.3吨/米3=520吨。

估算各种土壤成分储量

根据容重算出土壤质量后,再按各种土壤成分(有机质、可溶性盐、各种养分、某种污染物等)的含量,来计算该成分在一定土体中的储量。例如,1公顷农地的耕层(厚0.2米)容重为1.3克/厘米3,有机质含量为15克/千克,全氮量为0.75克/千克(按土壤质量计),则该农地耕层土壤中的有机质储量为10000米2×0.2米×1.3吨/米3×0.015=39.0吨,氮的储量为10000米2×0.2米×1.3吨/米3×0.75×10-3=1.95吨,即1950千克纯氮,相当于约9.3吨硫酸铵(含氮量21%)肥料。

计算土壤储水量及灌水(或排水)定额

用容重值可计算某一土体容积中保存的水量,进而计算需要的灌水(或排水)定额。

测定

通常用环刀(或容重圈)法。用规定容积(如100厘米3、150厘米3等)和高度(如5厘米)的钢制环刀(下端有切口),套取自然垒结状态土样(原状土),连环刀一起称重,同时采土样测含水量,按下式计算容重值:

土壤容重

土壤容重多在土表测定,如土层较厚且上下层的松紧、质地等差异明显,则应按不同土层和深度分别测定之。由于土壤容重的空间变异大,在田间要选择多少个有代表性的测点进行重复测定,应根据需要决定,一般耕层的重复要多些,心土层和底土层可少些。对于水田土壤和其他较松软潮湿的土壤,可采用容重土钻(钻筒内叠套几只规定尺寸的容重圈)采取原状土样,以供测定。

在水利部门和土工部门,土壤容重也称为土壤干容重,而按湿土质量计算得到的称为土壤湿容重:

土壤容重

水稻土研究中提出了“浸水容重”,作为反映浸水条件下土壤结构状态和淀实程度的指标。它的测定方法是:磨细的风干土样称重后,放入盛水的大量筒中,浸泡分散,水中搅匀,静置,待土粒下沉至筒底,记下沉淀容积。另取一份风干土样测其含水量,由此折算筒内土样的干质量,再由下式求浸水容重:

土壤容重

影响因素和评价

土壤容重的数值大小,受土壤质地、结构、有机质含量以及各种自然因素和人工管理措施的影响。凡是造成土壤疏松多孔(良好的土壤结构性)或有大量大孔隙(耕作)的,容重值小,反之造成土壤紧实少孔的(如农地耕翻后自然沉实或土工地基人工夯实)则容重大。一般是表层土壤的容重较小,而心土层和底土层的容重较大,尤其是淀积层的容重更大。同样是表层土壤,随着有机质含量增加及结构性改善,容重值相应减小(见表1),有机质丰富而团粒结构发达的黑钙土表层,疏松多孔,容重值最小。

表1 几类土壤的有机质含量与容重

土壤在耕翻或中耕以后,增加了大量大孔隙,土壤孔隙度明显增加而容重减小。随着耕层逐渐沉实,容重值逐渐回升,趋向于一个长久保持的稳定值,直至下一次耕作为止。通常所说的土壤容重就是指的这个“稳定容重值”,它是一个重要的土壤参数,根据其大小可对旱地土壤松紧程度作出评价(表2)。

表2 耕层土壤松紧状况评价