登录| 注册    
收藏  点赞 

阳离子交换方程式

用来表述阳离子交换反应和计算交换平衡常数或平衡商的数学方程式。如下式所示: 阳离子交换方程式 式中:X为土壤中带有负电荷的表面;A—X和B—X表示被土壤吸附的阳离子A和B;u和v即为阳离子A和B的价数。在20世纪的上半个世纪中,为了定量地考察阳离子交换过程中,阳离子在固相和液相之间的分配及其相互影响,曾有很多土壤化学家对阳离子交换方程作出了引进和修改,各自依据不同的理论提出了多种方程式。

用来表述阳离子交换反应和计算交换平衡常数或平衡商的数学方程式。如下式所示:

阳离子交换方程式

式中:X为土壤中带有负电荷的表面;A—X和B—X表示被土壤吸附的阳离子A和B;u和v即为阳离子A和B的价数。

在20世纪的上半个世纪中,为了定量地考察阳离子交换过程中,阳离子在固相和液相之间的分配及其相互影响,曾有很多土壤化学家对阳离子交换方程作出了引进和修改,各自依据不同的理论提出了多种方程式。由于土壤粘粒的矿物组成和交换性阳离子组成的复杂性,以及交换性阳离子活度测定的困难,并且还由于土壤中的阳离子交换过程,实际上是许多过程的一个总包过程,因而使各种方程式都有一定的局限性,或一定的经验性。因此,对阳离子交换方程式的选择,应以在一定浓度范围内,各个浓度下交换反应平衡常数的计算值不出现明显的差异为原则。

质量作用方程

阳离子交换反应中,虽未形成新的化合物,但却导致土壤溶液中和上壤固相表面上阳离子组成和活度及其比例的改变,符合质量作用定律。因此可利用该定律以求交换反应的平衡常数。

克尔(Kerr)方程式

该式假定土壤固相表面上的交换性阳离子和溶液中阳离子的活度几乎与浓度相等,如(1)中A、B两种阳离子均为1价时,则本式的引用较为广泛,特别在浓度较稀时更为适宜。

阳离子交换方程式

式中:K为平衡常数,()表示浓度,[]为活度。如A、B分别为K和Na的,则(2)式可以改写为:

阳离子交换方程式

如(1)式中阳离子A和B分别为Ca2+和K时,则(2)式可改写为:

阳离子交换方程式

范塞洛(A.P.Vanselew)方程式

由于测定交换性阳离子活度的困难,以浓度代替活度也仅在某些情况下适用,因此范塞洛(1932)在本方程式中引进了摩尔分数的概念。这一概念认为土壤的交换性阳离子的活度与其在交换性阳离子总量中的摩尔分数成比例。部分实验结果也表明交换性阳离子的活度随其饱和度的降低而减小,因此摩尔分数具有相对活度的意义。如将摩尔分数引入(3)式,则可改写为:

阳离子交换方程式

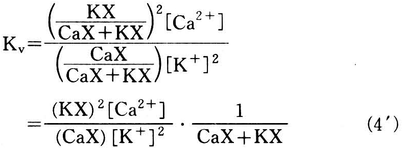
式中:分别代表交换性钠和交换性钾的摩尔分数,表明对于1价离子的交换反应,范塞洛方程式和克尔方程式是一致的。如(1)式为Ca2+→K的交换反应,引入摩尔分数之后则如(4′)方程式所示:

阳离子交换方程式

式中:Kv为范塞洛方程式的平衡常数,分别为交换性钾和交换性钙的摩尔分数。(4′)式与克尔方程式(式4)比较、(4′)式的平衡常数Kv为(4)式的K与的乘积。

分子运动或动力学方程

加朋(E.N.Gapon)方程式

加朋(1933)根据单层分子吸附原理,即分子M2可以与以单分子层吸附在固体表面上的另一分子(M1)发生交换,则分子M2被吸附的数量与另一分子M1所占固相的表面积成比例,从而提出如下的加朋方程式:

阳离子交换方程式

式中:F1和F2分别为分子M1和M2在固相表面上所占的面积,F1+F2=F0;C1和C2为平衡时M1和M2在液相中的浓度,Kc即为平衡常数。加朋认为土壤中阳离子交换反应与上述分子置换的情况相似,因此当(5)式用于阳离子交换反应时,F0=CEC,如C1和C2均为1价阳离子时,即其交换反应方程与(3)式相一致,但浓度代替了活度。如(5)式应用到Ca—K交换反应时,即可改写为(5′)式

阳离子交换方程式

(CEC-KX)=CaX代入(5′)式,则所得方程式与(4)式相似,但(5′)式以浓度代替了活度。

詹尼(H.Jenny)方程式

詹尼(1936)根据分子运动原理,认为交换性阳离子总是在颗粒表面的电荷中心附近振动,其所及的空间即为振动体积。溶液中的阳离子也处在热运动状态,因此该离子如有通过振动空间的机会,则发生阳离子交换作用。如将概率应用于这一设想,即可导出等价阳离子交换反应的动力学方程式如下:

阳离子交换方程式

式中:W为平衡时被吸附或解吸的阳离子数量;S为供试材料的交换性阳离子总量(相当于CEC);N为加入电解质中阳离子数量;Vw和Vb为两种阳离子处于交换态时的振动体积。(6)式可改算为:

阳离子交换方程式

将(6′)式应用于K—Na交换反应则(6′)式可改写为:

阳离子交换方程式

此式与克尔方程式中(3)式相似,唯浓度代替了活度。(6′)式如使之适用于不等价阳离子的交换反应,即可修改为(8)式,此即为戴维斯(Davis)方程式。

阳离子交换方程式

式中:Zw和Zb分别为平衡时1价和2价的交换性阳离子数量;Nw和Nb则分别为自由溶液中1价和2价阳离子的离子数量,用于Ca2+—K交换时则与加朋方程式(5′)式相似。

唐南(Donnan)平衡原理的应用

土壤粘粒—水分散体系可作为唐南体系,扩散双电层作为唐南体系的内溶液(内相),该层以外的自由溶液即为唐南体系的外溶液(外相)。膜平衡原理就是内溶液中离子乘积与外溶液中离子乘积相等。如(1)式中A和B分别以钠离子和钙离子为代表,相伴阴离子为Cl-离子,则根据膜平衡原理可以把Na-Ca2+阳离子交换反应写成:

阳离子交换方程式

式中:X表示外溶液中各个离子的浓度;Y代表从自由溶液中扩散至内溶液中各个离子的浓度;Z代表从胶体表面解离出来的交换性阳离子的活度;Y和Z均为内溶液,两式相除,得

阳离子交换方程式

设土壤具有较大的CEC,外溶液中盐浓度又较低,则Y<<Z,内溶液中Y部分各离子浓度则可忽略不计,上式则可改写如下:

阳离子交换方程式

式中:“i”示内溶液,“o”为外溶液。该式与克尔式相似,但(9)式的K值为1。如外溶液中以活度代替浓度,固相上交换性阳离子(即内溶液)数量以摩尔数表示,则(9)应修改为下式:

阳离子交换方程式

式中:αCa-Na为内溶液中Ca2+离子活度系数与Na离子活度系数的比值,即Vi为内溶液的体积,与Ca2+和Na离子的关系是:Nai/V=[Na]i,Cai/V=[Ca]i,[]表示离子活度。