登录| 注册    
收藏  点赞 

土壤含水量测定

土质量的比值,以质量(或容积)百分数或小数表示。重复2~5次,取平均值。此法操作方便,设备简单,但在采样、包装和运输过程中应注意避免水分的丢失,以免造成误差。②酒精燃烧法。加酒精灼烧土壤,使其水分蒸发,由燃烧前后土样的减重计算土壤含水量。取土样10克左右,加酒精约5~10毫升,充分搅拌成糊状,点火燃烧,一般燃烧二次可达恒重。本法较烘箱法测定的误差在0.5%~0.

土壤中各种液态水分的定量,有时还包括冰和一部分矿物结晶水在内,一般可分为采样法和原位法测定两大类。20世纪中叶以来已开始利用航天遥感技术进行土壤水分监测。

采样法

大多采样到室内测定,也有在田头采样速测的。①烘箱法。是最常用的测定方法,也是用来校核其它方法测定结果的标准方法。将土壤样品置于105℃温度下烘至恒重,在此温度下土壤中的自由水和吸湿水全被排除,而土壤有机质则不致分解。计算土壤失水质量与烘干土质量的比值,以质量(或容积)百分数或小数表示。重复2~5次,取平均值。此法操作方便,设备简单,但在采样、包装和运输过程中应注意避免水分的丢失,以免造成误差。②酒精燃烧法。加酒精灼烧土壤,使其水分蒸发,由燃烧前后土样的减重计算土壤含水量。取土样10克左右,加酒精约5~10毫升,充分搅拌成糊状,点火燃烧,一般燃烧二次可达恒重。本法较烘箱法测定的误差在0.5%~0.8%左右,是一种快速测定法,适合于在田间进行,应重复2~3次,重复间允许误差±1%,取其平均值。酒精燃烧前应剔去土样中明显的有机残体,避免造成大的误差。此外,尚有红外线烘干法,冷干燥法(用H2SO4、CaCl2、P2O5等吸收剂使土壤脱水)、比重瓶称量法、碳化钙法、微波法及实用积仪法等。

原位测定法

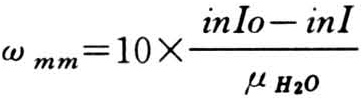
利用仪器设备直接在田间测定土壤含水量的方法,常用的有以下几种:①中子仪法。用中子水分仪测定。中子水分仪中的快中子源(如钋—铍源、镅—铍源等)放射出的快中子,被土壤中的氢原子慢化为慢中子,在中子源周围形成球形的慢中子云,其密度与土壤单位体积内的氢含量成正比,而土壤中的氢几乎都存在于水中。用慢中子探测器测得慢中子计数,再根据其与土壤含水量的标定线求得土壤含水量,测定误差约±1%。本法测定迅速,不需采土样,无滞后现象,适于野外定点连续观测,可与自动记录仪相联。但土壤表层0~20厘米需有专门类型中子仪测定,或用屏蔽,或用他法校准。②γ射线法。放射性同位素(如Co60等)放出的γ射线通过土壤时,被土壤固相部分和水分吸收而减弱,当固相部分不变时,γ射线强度的改变主要取决于水分含量:

土壤含水量测定

中子测水仪(示意)

式中:Io为γ射线通过干土后的强度,以脉冲/分表示,I为γ射线通过被测土壤后的强度,以脉冲/分表示,μH2O为γ射线被L厘米的水减弱的线性系数,ωmm土壤含水量,以水层的毫米数表示。本法能连续测定薄层土壤的含水量及其变化,较为精确,缺点是受土壤容重变化的影响大及射线对人体有害,需有防护措施。③规块电测法。利用规块电性质与土壤水分含量的关系测定土壤含水量,如电导电阻法等。将具有吸水能力,内装有电极的规块(如石膏块、尼龙块或玻璃纤维块)埋入土壤,与土壤水分平衡后,测定其电阻值,通过电阻值随土壤含水量的增加而减小的函数关系,求得土壤含水量。用熟石膏块能测定pF2.6~4.2之间的土壤水吸力或含水量,利用尼龙和玻璃纤维块,测定范围可扩展到pF2。此法受土壤中盐分含量、土壤温度土壤容重和仪器传送器与土壤接触的情况等的影响而精确性和可靠性较差。在测定时,必须降低上述影响,或使上述因素保持不变。每一种土壤和每一发生层的土壤电阻(或电导)依含水量变化的分度曲线,都要单独确定。在野外,它可以用来定点观察土壤含水量状况。水分在土壤中冻结时电阻显著增高,因此,此法也可用来测定土壤冻结的深度。④张力计法。是测量土壤吸力的方法。土壤吸力与土壤含水量有对应的关系,测得土壤吸力后,可从土壤吸力—含水量关系曲线查出土壤含水量。因为土壤吸水过程或脱水过程有滞后现象,在相同吸力值时的含水量可能有几个百分点的偏差,而影响准确度。张力计法的原理,见土水势测定。张力计的测量范围为0~85千帕土壤吸力。当土壤水分过多,造成临时渍水,或者陶瓷管处于地下水位之下,都使仪器处于正压力状态。使用“U”型汞柱压力表或“压力—真空表”(张力计有“真空表式张力计”、“报警式张力计”及“传感式张力计”)作为指示部件,则这种正压力会在压力表中指示出来。由指示的压力值与陶瓷管埋深可以算出渍水或地下水位的深度(见土水势测定)。张力计常用于田间定位监测土壤水分和指示农田灌溉(见彩图188)。此外,原位测定法还有电容法、热传导法和光电法等。

遥感法

采用航空遥感和卫星遥感技术,测得土壤表面反射(或发射)的电磁波来估测土壤含水量。辐射强度与含水量的关系由土壤的介电特性(折射率)或温度,或两者的综合所决定。