登录| 注册    
收藏  点赞 

电渗

胶体系中固相具有多孔性,在外电场作用下固相不动,渗透于固相中的液相向与固相电荷相同的电极方向移动的现象。是电动现象的一种。电渗与ξ-电位密切相关。在一支充满液体的毛管中,管壁与附近液体可形成一定厚度的双电层,紧贴管壁的一层液体不能移动,另一部分则处于可移动的液相之中

胶体系中固相具有多孔性,在外电场作用下固相不动,渗透于固相中的液相向与固相电荷相同的电极方向移动的现象。是电动现象的一种。

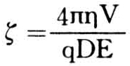
电渗与ξ-电位密切相关。在一支充满液体的毛管中,管壁与附近液体可形成一定厚度的双电层,紧贴管壁的一层液体不能移动,另一部分则处于可移动的液相之中,其界面即为滑动面(滑动面距毛管壁的厚度为δ),如在毛管两端加一定的电位差,则液体沿滑动面分裂,如液体带正电则向负极移动(见图)。电渗与ξ-电位的关系如下列公式,且可据该式求ξ-电位:

电渗

液体在毛管内流动示意图

式中:ξ为动电电位,η为液体的粘度,V为单位时间通过隔膜的液体体积,q为隔膜毛管总截面积,D为介电常数,20℃时(H2O为80),E-加在半径为r长为1厘米毛管上的电位差。