登录| 注册    
收藏  点赞 

优株评选

按照一定标准从群体中评定并选择出具有优良性状单株的方法。优株评选是观赏植物育种过程中的重要环节。经过评选,确定优株个体,才能进行比较、鉴定和繁殖,形成一个具有优良性状的群体。通过优株评选,还可使退化的品种得以复壮。评选标准首先,应区别系统育种中的评选标准和良种繁育中提纯复壮的评选标准。

按照一定标准从群体中评定并选择出具有优良性状单株的方法。优株评选是观赏植物育种过程中的重要环节。经过评选,确定优株个体,才能进行比较、鉴定和繁殖,形成一个具有优良性状的群体。通过优株评选,还可使退化的品种得以复壮。

评选标准

首先,应区别系统育种中的评选标准和良种繁育中提纯复壮的评选标准。

系统育种中应根据品种的优缺点和育种目标,明确入选类型,确定哪些优良性状是要保持和提高的,哪些性状是必须改进和克服的,并且要在综合性状整体表现优良的基础上,有重点地克服品种存在的缺点。如果忽略了综合性状,只突出单一性状,是不会评选出有价值的优良品种的。良种繁育中提纯复壮的评选标准,应以原品种主要特征为准,先确定哪些优良性状需加复壮,哪些性状应予保持。

在拟订优株评选标准时,应首先明确目标性状;其次,分清目标性状的主次。再次,适度确定目标性状的评选标准,不能过高或过低。如过高,一些优良性状单株会因不合格而遭淘汰;相反,如降低了入选标准,又会大大增加工作量。最后应注意尽量减少环境及其他因素的干扰。

在拟订花卉评选标准中,应从花卉品质性状和抗逆性两方面考虑。在品质性状上,以株型、花形、花色、花香、开花繁密度、重瓣性及花期、叶形、叶色等为主。而抗逆性则包括抗病、抗虫、抗寒、抗热、抗旱、抗涝以及耐盐碱、耐贫瘠土壤、抗污染能力以及耐粗放管理等等。对于以上两个方面,除一般兼顾外,也可有所侧重。如侧重品质性状选择时,称之为品质性状评选或称品质选种;侧重抗逆性状选择时,则称抗逆性状评选或称抗逆性状选种。

评选方法

有单一性状评选和综合性评选两大类。

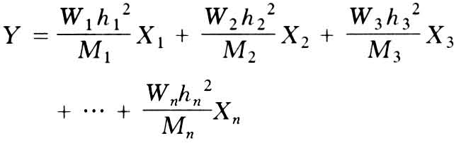
单一性状评选:根据性状的重要性或出现的先后逐次淘汰的一种评选法。包括分项累进淘汰法和分次分期淘汰法。分项累进淘汰法是根据性状的相对重要性顺序排列,把重要性状排在前面,先按第一重要性状进行评选,然后在入选株内按第二性状进行评选,顺次进行。分次分期淘汰法,则按目标性状出现的先后,在第一个目标性状显露时进行第一次评选。到第二个目标性状出现时将已选优株内第二性状不合格株予以淘汰。然后再依次进行。综合性状评选:根据花卉的观赏价值及抗逆性等综合性状进行评分,最后评选出积分最高的植株。它又分为多次综合评比法、加权评分法和限值淘汰等法。①多次综合评比法一般分为初选、复选和决选三次评选。初选时可多人分片进行,复选应由一二人全面进行,然后将复选植株集中到一起进行决选。也可将复选与决选合并办理。为了准确,翌年可重复进行一次。一般做法是分项,各按重要性分别打分,总分为100分,60分或70分以上入选。此法又称百分制计分评选法,国内外应用较多。②加权评分比较法是根据各性状的相对重要性分别给予各性状一加权数(W),测定各植株的各性状数值(X),把植株各性状的测定值乘以加权数后积加,即得该植株总分数,根据总分数择选录取。具体计算公式如下:

优株评选

式中 Y为评选指数;Wn为第n个性状的加权系数;hn2为第n个性状的遗传力;Mn为第一到第n个性状群体平均数;Xn代表第n个性状的观察值。③限值淘汰法是将需要鉴定的性状分别规定一个最低入选标准,凡各性状都达到规定标准的植株可入选,低于规定标准的淘汰。但对于选择满足特殊需要的品种,此法不适用。因实行这种评选法,很可能将优点很突出但因具有少数不良性状的单株淘汰掉。

优株评选观赏植物品种改良中,当属多快好省的一种方法。育种实践证明,此法不论在花木类(如梅花、金花茶等)、宿根花卉地被植物(如地被菊、荷兰菊等)、草花(如凤仙花三色堇)等,都收到良好的效果。