登录| 注册    
收藏  点赞 

有效群体大小

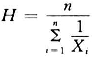
繁殖群体中两个性别的调和均数的两倍。调和均数的计算公式是: 有效群体大小 式中 H为调和均数;Xi为变数;n为变数的个数。因而有效群体大小是:Ne=2H式中 Ne为有效群体大小。群体大小的表示方法 总个体数即群体中全部个体的总和。如牛群中犊牛、青年牛、成年牛的总和。繁殖个体数即有繁殖能力的个体数。这对研究群体的遗传结构是重要的,因为不进行繁殖的个体与群体的遗传结构无关。

繁殖群体中两个性别的调和均数的两倍。调和均数的计算公式是:

有效群体大小

式中 H为调和均数;Xi为变数;n为变数的个数。因而有效群体大小是:

Ne=2H

式中 Ne为有效群体大小。

群体大小的表示方法

总个体数

即群体中全部个体的总和。如牛群中犊牛、青年牛、成年牛的总和。

繁殖个体数

即有繁殖能力的个体数。这对研究群体的遗传结构是重要的,因为不进行繁殖的个体与群体的遗传结构无关。

有效个体数

这是一个计算出来的数值。它是与一个有N个繁殖个体,雌雄各半,随机交配的理想群体相比较得到的一个当量。

例如在100只成年母鸡和10只成年公鸡的群体,它的繁殖群体大小是110只,但有效群体大小是Nt=2H=36.36只。

计算有效群体大小的常用公式

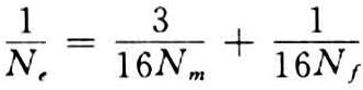
公畜和母畜数量不等

在种畜场中,一般都是公畜少母畜多,计算有效群体大小的公式是:

有效群体大小

式中 Ne有效群体大小;Nm为繁殖公畜数;Nf为繁殖母畜数。

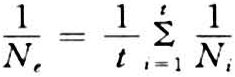
在连续世代中繁殖家畜的数量不等

无论是自然或家养群体中,由于各种原因每代参加繁殖的家畜数量并不保持恒定,这时计算有效群体大小的公式是:

有效群体大小

式中 Ne有效群体大小;t为世代数;Ni为各世代的有效群体大小

个体间繁殖能力不等

如不同父母留下的后代数众寡不一,造成家系含量的不同,这时计算群体有效大小的公式是:

有效群体大小

式中 Ne有效群体大小;N为繁殖群体大小且公母各半;为家系含量方差。

当各家系等量留种时,群体大小为繁殖群体大小的2倍。这在畜禽资源保存中有很大意义,采用各家系等量留种的方式可以减少保种群体的数量。

家系等量留种而公母畜数量不等

这是在保种群体中常见的一种情况。计算有效群体大小的公式是:

有效群体大小

式中 Ne、Nm、Nf定义同前。

有效群体大小的应用

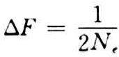
有效群体大小与近交率

已知有效群体大小计算近交率的公式是:

有效群体大小

式中 △F为近交率;Nt有效群体大小

根据近交率可以计算群体在随机交配条件下的近交系数。所用的公式是:

Ft=1-(1-△F)t

式中 Ft为第t世代近交系数;t为世代数。

有效群体大小与世代间隔

当群体的近交系数限制在某一特定值时,世代间隔越长,所需要的有效群体大小越小,如要求在100年内群体的近交系数不超过0.1(Ft≤0.1),则不同世代间隔所要求的有效群体大小见表:

不同世代间隔所要求的有效群体大小(100年内Ft≤0.10)

有效群体大小与保种群中繁殖群体大小的关系

不同的繁殖群体大小可以达到同样的有效群体大小。例如在随机留种时饲养50头公畜50头母畜的有效群体大小和饲养30头公畜150头母畜的有效群体大小都是100头,但性别比例不同。这一点在畜禽保种中有实用意义。