登录| 注册    
收藏  点赞 

基因型频率

在一个群体中某一性状的各种基因型间的比率。二倍体生物的体细胞中基因都是成对存在的。一对或几对基因构成某个性状的基因型。一个性状的遗传不仅决定于基因,更直接地决定于基因型。基因型不等于表现型,基因型频率不一定就是表现型的比率。基因型频率的计算:例如A和a一对等位基因所组成的三种基因型的数目为:AA25个、Aa50个、aa25个。它们的频率分别用D、H和R表示

在一个群体中某一性状的各种基因型间的比率。二倍体生物的体细胞中基因都是成对存在的。一对或几对基因构成某个性状的基因型。一个性状的遗传不仅决定于基因,更直接地决定于基因型。基因型不等于表现型,基因型频率不一定就是表现型的比率。

基因型频率的计算:例如A和a一对等位基因所组成的三种基因型的数目为:AA25个、Aa50个、aa25个。它们的频率分别用D、H和R表示,则:

基因型频率

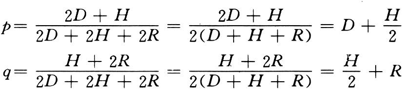
基因型是由基因组成的,两者的频率是密切关联的。如A与a一对等位基因组成三种基因型,每一种基因型与组成它的基因关系如下:

假设户为A的频率,q为a频率,D为AA的频率,H为Aa的频率,R为aa的频率,则

基因型频率

以上两式是基因型频率和基因频率间的一般关系式。只要知道各种基因型的频率,就可计算出基因频率。假设已知D=0.25,H=0.5,R=0.25,直接代入上式,得:

基因型频率