登录| 注册    
收藏  点赞 

线性可加模型

一个试验观察值按其变异来源划分的线性分解式。若从一个均数为μ方差为σ2的正态总体中随机抽取的观察值xi可分解为总体平均和随机误差两部分,所以其线性可加模型为: 线性可加模型 式中 εi为随机误差服从正态分布N(0,σ2)。假如将上述总体分成k个亚总体,各施以不同的处理,设第i处理的效应为τi(i=1,2,…,k),则第i亚总体的平均数为μi=μ+τi。

一个试验观察值按其变异来源划分的线性分解式。若从一个均数为μ方差为σ2的正态总体中随机抽取的观察值xi可分解为总体平均和随机误差两部分,所以其线性可加模型为:

线性可加模型

式中 εi为随机误差服从正态分布N(0,σ2)。假如将上述总体分成k个亚总体,各施以不同的处理,设第i处理的效应为τi(i=1,2,…,k),则第i亚总体的平均数为μi=μ+τi。从任一亚总体随机抽出的观察值xij(i=1,2,…,k,j=1,2,…表示观察序数)的线性可加模型为:

线性可加模型

这就是单向分组资料中观察值的数学模型。根据试验设计不同可以有不同的线性可加模型,但它们有一共同特点,即各分量都取一次项,故称之为线性可加模型。如双向分组资料中观察值xij的线性可加模型为:

线性可加模型

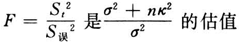
式中 τi为因素A第i水平的效应,ρj为区组j的效应。在式(2)中,εij服从正态分布N(0,σ2),但根据τi的性质不同,可分为固定模型和随机模型。所谓固定模型是指试验的各处理都抽自特定的处理总体,分别遵循正态分布N(μi,σ2),处理效应τi=μi-μ是固定的常量,并满足,试验目的在于研究τi。如重复做试验,所用的处理将是同一套的,即处理效应是固定的。根据式(2)模型可导出方差分析中误差均方S 2是σ2的估值,处理均方St 2是σ+nki 2的估值,其中ki 2,只有τi=0时,处理均方St 2才是σ2的估值,因此

线性可加模型

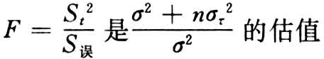
若H0∶τi=0或k2=0成立时,F<Fα,即各处理的效应无显著差异。反之当H0∶τi=0不成立时,F>Fα,即k2>0。所谓随机模型是指试验中各处理皆抽自正态分布N(0,στ 2)的一组随机样本,即处理效应τi是随机的遵循正态分布N(0,στ 2),试验目的不在于研究τi本身的大小,而在于研究τi的变异程度,即στ 2。所以,方差分析所测验的是H0∶στ 2=0,HA∶στ 2>0,统计推断的不是某些供试处理的效应大小,而是关于抽出这些处理的总体情况,这里误差均方S 2估计是σ2,而处理均方&2估计的是σ2+nστ 2,因此

线性可加模型

在H0∶στ 2=0的假设下,F才能与Fα比较。显然固定模型和随机模型的分析重点不同,前者在于对τi的分析,后者在于对στ 2的分析。农化研究的试验资料大多属于固定模型,如肥料用量试验和肥料品种试验等均为固定模型。连续多年进行的肥料试验中年份效应为随机模型。