登录| 注册    
收藏  点赞 

鱼类饲料

蛋白价评定多数是以饲料蛋白质第一限制性必需氨基酸量与参考(标准)蛋白质中相应的必需氨基酸量的百分比表示。蛋白价也称氨基酸化学分(chemicalscore

用来饲养鱼类的食料,水产养殖上饲料与饵料是同义语。

饲料分类

分为天然饵料、商品饲料及配合饲料三大类。

天然饵料

有浮游植物、浮游动物、小型游泳动物、底栖动物、水生大型植物和有机碎屑。

浮游植物

包括蓝藻类、隐藻类、甲藻类、黄藻类、硅藻类、裸藻类和绿藻类等,是滤食性鱼类鲢、鳙等主要营养源。在养殖过程中,人们常通过施肥控制水的肥度,使浮游植物的种类组成和数量能满足放养鱼类生长的需要。

浮游动物

有原生动物、轮虫类、枝角类、桡足类,以及其他甲壳类动物的幼体等。池塘中大多数是喜有机物质的种类,蛋白质含量较高,并易于消化。鳙除摄食部分浮游植物外,以浮游动物为主要饵料;鲢也摄食部分浮游动物。一般来说,鱼类仔鱼期均以浮游生物尤其是浮游动物为主要饵料。

小型游泳动物

包括一些小型的鱼、虾类,可作为肉食性鱼类如鳜、大眼鳜、大口黑鲈尖吻鲈等的饵料。

底栖动物

包括水生寡毛类、线虫类、软体动物、水生昆虫等。它们的营养价值很高,如螺(干物质)蛋白质的含量为53.18%,脂肪含量为5.0%,糖含量为17.3%,是肉食性、杂食性鱼类的天然饵料。

水生大型植物

主要是水生维管束植物,也包括部分附着生长的大型丝状绿藻和轮藻,是草食性鱼类的良好饵料。

有机碎屑

主要指生物尸体碎片及附生的微生物絮团,为鲫、鲻等和鲢、鳙的饵料。

商品饲料

通过商品流通渠道得到的饲料。这类饲料既可单独使用,又可作预混合饲料和配合饲料的原料。种类繁多,按营养价值分,有粗饲料、精饲料、特殊饲料;按营养的主要成分分,有蛋白质饲料、能量饲料、纤维饲料和矿物质饲料;按来源分,有动物性饲料和植物性饲料等等。根据饲料的来源和用途归纳为以下四大类。

动物性饲料

主要指动物的直接产品或其副产品。包括鱼粉、蚕蛹(粉)、血粉(猪、牛、羊、兔等)、羽毛粉、肉粉、肉骨粉、骨肉粉等品种。其蛋白质品质好、含量高,必需氨基酸齐全。这类产品的无氮浸出物很少;几乎不含纤维素。动物性饲料中灰分高,主要来源于骨骼和甲壳;钙、磷含量丰富且比例适当。一般含有较多的维生素,尤其是维生素B2、B12、D和A。

植物性饲料

主要包括籽实类(禾本科与豆科等)及其加工的副产品(饼、粕、糠麸等)、农作物的秸杆、荚壳、块根、块茎及干草树叶粉等。这一类种类较多,但营养不全面,蛋白质、氨基酸组成不够平衡。

微生物类饲料

有饲用价值的微藻、酵母、细菌等微型生物。这类生物蛋白质丰富,并有多种维生素、色素和促生长物质。作为鱼虾的饲料源,具有特殊的生理价值。酵母类中应用较多的有啤酒酵母、酒精酵母、石油酵母等。一般酵母干物质中含蛋白质40%以上,赖氨酸丰富,但含硫氨基酸较少。用废糖蜜生产的酵母蛋白质含蛋氨酸较高,故生理价值亦较高。酵母中还含有丰富的B族维生素,维生素A少;含磷、钾多,含钙少。

饲料添加剂

加入配合饲料中的各种微量成分,是预混合饲料的重要成分,与蛋白质饲料、能量饲料一起组成配合饲料。主要目的是完善配合饲料的营养成分,提高饲料的利用率,促进鱼的生长发育,防治各种疾病,减少贮存期间饲料营养成分的变质损失,改进饲料的适口性以及鱼的品质。饲料添加剂种类各异,按功能和作用可分为:①氨基酸、无机盐和微量元素、维生素等营养添加剂;②抗生素、激素、酶制剂等保健助长添加剂;③抗氧化剂、防霉剂、粘合剂等饲料保藏添加剂;④增进食欲和改良品质的引诱剂、着色剂等添加剂。

配合饲料

配合饲料的种类和形态各异。

从营养角度考虑有:

全价饲料

又称完全饲料或平衡饲料。根据养殖鱼类发育、生长过程中对营养的要求,将富有蛋白质、能量的饲料和各种添加剂搅拌均匀,然后制成所需要的形态,这种饲料所含的营养成分全面、平衡,能充分满足鱼类最佳生长对营养的需要。

添加饲料

配合饲料的添加部分,又称营养补充饲料。为便于生产,预先按不同营养要求,采用不同配方,以玉米粉、麸皮或草粉、松针粉等作添加剂载体,计量混合而成。用量约占配合饲料量的1%~3%左右。

预混合饲料

又称浓缩饲料或蛋白浓缩饲料,指预配添加剂和蛋白质饲料等。按规定的配方配制,一般占配合饲料量的20%~30%。

混合饲料

亦称初级配合饲料。将含有蛋白质、能量、无机盐等成分的主要原料加工混合而成。但未考虑氨基酸、维生素等添加剂。这种饲料营养成分不完全,饲料效率较低。

从物理状态考虑有:

粉状饲料

主要用于饲喂鱼苗。这种饲料易造成水质污染。鳗鲡饲料虽为粉状,但其中配有20%以上的淀粉,使用时加适量水混合搓成具有强粘性和弹性的团块状,适于摄食。

颗粒状饲料

包括:①软颗粒饲料。饲料成分配合后,经压粒干燥而成。在加工时,经机械摩擦生热,含水分高(30%~40%)的粉料糊化,颗粒的粘结性能及其在水中的稳定性较好。这种颗粒比重较大,一般为沉性,适于中底层鱼类摄食。②硬颗粒饲料。加工时在配好的粉料中通入蒸汽(或少量温水),通过压粒机制成硬颗粒,含水分15%~18%,在水中稳定性不如软颗粒。比重较大,沉性,适于底层鱼类摄食。③浮性颗粒饲料。在加工中,配料在高温、高压的作用下,水分迅速蒸发,颗粒体积膨胀,比重减轻,故易浮在水面或中层,适于上、中层鱼类摄食。④微粒饲料。鱼、虾、贝幼体开食时的饲料。微粒饲料的粒径10~500微米,比重与水相近,能悬浮,营养丰富,易消化吸收,营养素在水中不易浸出。用于制备微粒饲料的原料有:鱼粉、鸡蛋黄、蛤子肉浓缩物、大豆蛋白、脱脂乳粉、葡萄糖、鱼肝油、氨基酸混合物、无机盐混合剂、维生素混合剂等。按制作方法和性状可分为:①微胶囊饲料(MED)。将液态状、胶状、糊状或固体状(不含粘合剂)的饲料配料用一层膜包裹而成,所用被膜的性状不同,所得的颗粒形状也不相同。②微粘饲料(MBD)。用粘合剂将饲料配料粘合而成,其形态和在水中的稳定性由粘合剂维持。③微膜饲料(MCD)。用被膜将微粒粘合包裹,以提高在水中的稳定性。

饲料营养价值的评价

评价饲料营养价值高低,通常采用以下几种方法。

化学评价

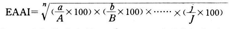
饲料营养成分的化学分析。这是最基础的评价。分析的项目包括水分、粗蛋白、粗脂肪、粗纤维、灰分、无氮浸出物(NFE)。根据测定结果,可把饲料区别为多水分饲料、蛋白质饲料、能量饲料、脂肪多的饲料、粗纤维多的饲料、矿物质饲料等。有条件的可以分析饲料蛋白质氨基酸组成量。然后采用蛋白价(protein score,pS)和必需氨基酸指数(essential amino acid index,EAAI)两个指标进行评价。

鱼类饲料

蛋白价评定多数是以饲料蛋白质第一限制性必需氨基酸量与参考(标准)蛋白质中相应的必需氨基酸量的百分比表示。蛋白价也称氨基酸化学分(chemicalscore,CS)。饲料蛋白价高的为好。EAAI是以待评价饲料蛋白质中各个必需氨基酸配给量与参考蛋白质中相应的各种氨基酸含量之比的加数平均值来表示。

鱼类饲料

式中 n为氨基酸个数;a,b,……,j代表待评价蛋白质中各个必需氨基酸量;A,B,……,J代表参考蛋白质必需氨基酸量。EAAI值大者为好,表示各氨基酸量均较接近。

生理—生化评价

鱼对饲料的利用,表现在对其营养成分的消化吸收程度上。因此,进行消化率和消化能或代谢能值的评价很有必要。蛋白质是饲料中最为重要的营养素,它被鱼体利用程度是重要的评价指标。常用的有:蛋白质效率(protein effieiency ratio,PER)、净蛋白质效率(net protein ratio,NPR)、净蛋白质利用率(net protein utilization,NPU)和蛋白质生物价(biological value,BV)等评价指标。举其中常用的PER指标为例:

鱼类饲料

如PER值大,说明该饲料的营养价值高。但要注意饲料蛋白质含量高低对PER的影响。一般来说,PER值有随饲料蛋白质含量升高而降低的趋势,应予注意。此评价方法较简便,所以具有较好的实用性。

生物学评价

常用鱼体增产与饲料消耗之比来评价饲料的效果。通常用鱼生长指标及饲料转换效率或饲料系数等作评价指标。例如生产性试验中常用的饲料系数指标为:

鱼类饲料

其概念为生产1千克鱼所需的饲料千克数。