登录| 注册    
收藏  点赞 

剩余产量模式

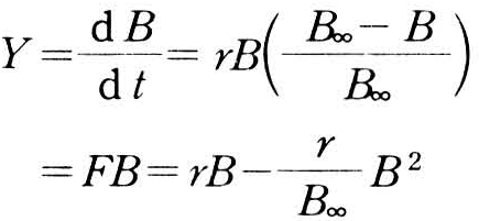
当种群生物量处于极低(B0)或者达到最高水平(B=B∞)时,△B为零;当B为中等大小时,△B达到最大值(图1)。因此,格雷厄姆(M.Graham,1935、1938)在种群增长的逻辑斯谛方程(见种群增长逻辑斯谛曲线)的基础上提出:假如渔业捕捞种群剩余生产部分的速率等于种群的自然增长率,种群大小将保持稳定

用数学表达式描述渔业捕捞产量与种群剩余生产部分之间的关系。侧重研究种群在平衡状态下的渔业持续产量最大持续产量、最适捕捞努力量,以及持续产量与种群大小和捕捞努力量之间的关系、单位捕捞努力量渔获量捕捞努力量之间的关系等。为渔业资源评估、经济效益分析和管理决策提供科学依据。是资源评估和渔业管理的主要理论模式之一。

一个开发种群的自然增长量(△B)通常称为种群剩余生产部分,它与种群大小(B)有关。当种群生物量处于极低(B0)或者达到最高水平(B=B)时,△B为零;当B为中等大小时,△B达到最大值(图1)。因此,格雷厄姆(M.Graham,1935、1938)在种群增长的逻辑斯谛方程(见种群增长逻辑斯谛曲线)的基础上提出:假如渔业捕捞种群剩余生产部分的速率等于种群的自然增长率,种群大小将保持稳定,渔业获得持续产量。其数学表达式为:

剩余产量模式

式中 Y为种群在平衡状况下的持续产量为种群自然增长率;B为种群在平衡状态下的数量;r为内禀自然增长率;B为最大种群数量;F为捕捞死亡量。

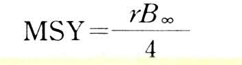
上式表明:在平衡状态下,种群的自然增长率(或称剩余生产部分的变化率)直接与种群的生物量以及实际生物量与种群最大生物量的差额有关;持续产量与种群平衡生物量之间为抛物线关系;种群的最大增长率,即最大剩余产量,出现在种群大小为B的一半时。相应地,最大持续产量(MSY)为:

剩余产量模式

图1 种群变化与渔业产量关系示意图

50年代以来,舍佛(M.Schaefer)、佩拉—汤姆林森(J.Pella;P.Tomlinson)和福克斯(W.Fox)等人,在捕捞死亡F为捕捞努力量f的函数(F=qf)的假设基础上,进一步完善了模式理论推导和参数的计算方法,提出了一些数学形式不同的剩余产量模式,主要有以下几种。

Schaefer剩余产量模式舍佛(1954、1957)假设种群特定的自然增长率f(B)或捕捞死亡同种群生物量之间为线性关系:

剩余产量模式

由此,推导出下列持续产量方程:

Y=af-bf2

式中 a、b为参数。最大持续产量和最适捕捞努力量(fopt)分别为:

剩余产量模式

Fox剩余产量模式

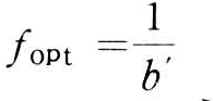
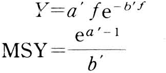
在渔业中,由于单位捕捞努力量渔获量或种群大小与捕捞努力量之间往往表现为非线性关系,福克斯(1970)假设种群的特定自然增长率与种群大小之间为指数关系:

f(B)=r(lnB-lnB)

持续产量方程、最大持续产量和最适捕捞努力量分别为:

剩余产量模式

剩余产量模式

Fox模式的一个重要特征是最大持续产量出现在种群大小为0.37B时,具最适捕捞努力量的计算值略高于Schaefer模式

Pella-Tomlinson剩余产量模式

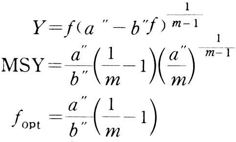
佩拉和汤姆林森(1969)认为:最大持续产量出现在种群大小为0.5B时的假设,不能适用于多数鱼类,种群自然增长率与种群大小之间不应为双曲线关系,用参数m代替二项式指数2,将特定自然增长率与种群大小的关系式修改为:

剩余产量模式

持续产量方程、最大持续产量及最适捕捞努力量分别为:

剩余产量模式

由于理论假设不同,三种模式的实际计算结果有一定的差异(图2)。在Pella-Tomlinson模式中,当m=2或m接近1时,它的计算结果与Schaefer或Fox模式相同。从统计学的角度看,这个模式可能获得最佳计算结果。但是,有时由于资料代表性不足,所获得的计算结果缺乏明确的生物学依据。

图2 黄海、渤海多种类渔业持续产量曲线

上述各种模式既不需要单独鉴定研究对象的年龄,也不需要估计其生长率、死亡率和补充率。只要多年的渔获量捕捞努力量资料,即可满足计算的要求。具有原始资料收集方便、计算简易等特点。但实践应用中也往往会出现如下问题:①最大持续产量的估计值往往偏高;②剩余产量模式不能充分反映出动态环境条件下持续产量的各个特例;③最大持续产量未能包括社会和经济等因素的影响。因此,在应用剩余产量模式的研究结果时,需要附加一定条件或者进行某些修正。