登录| 注册    
收藏  点赞 

三相-单相混合制配电系统

三相-单相混合配电系统接线图 图2 低压单相三线系统接线图 图3 三相电动机改为单相运行接线图 三相-单相混合制配电系统高压配电线路中三相负荷是不对称的,其电压损失按不对称电路的方法进行计算。当负荷接成三角形时,A、B相之间的线电压损失为:△UAB=〔2I1cosφ1+0.5(I2cosφ2+I3cosφ3)〕r+〔2I1sinφ1+0.

在高、低压配电系统,根据用户需求以三相线路(大用户)或单相线路(小用户)向用户供电的配电系统。高压配电系统(图1)的干线由三相线路构成,分支线路由单相或三相线路构成,中性点运行方式又分直接接地和不接地两种。低压配电系统为单相双线或有中间抽头的单相三线系统(图2)。它可以为照明及小型单相动力用户供电。小型三相异步电动机亦可改为单相接入440伏单相系统运行(图3),三相电机改作单相运行时,其额定容量降低1/3。

图1 三相-单相混合配电系统接线图

图2 低压单相三线系统接线图

图3 三相电动机改为单相运行接线图

三相-单相混合制配电系统高压配电线路中三相负荷是不对称的,其电压损失按不对称电路的方法进行计算。当负荷接成三角形时,A、B相之间的线电压损失为:

△UAB=〔2I1cosφ1+0.5(I2cosφ2+I3cosφ3)〕r+〔2I1sinφ1+0.5(I2sinφ2+I3sinφ3〕x

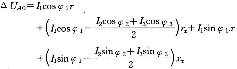
式中 I1、I2、I3φ1φ2φ3为各相负荷电流及功率因数角;r、x为线路的电阻、电抗当负荷接成星形时,A相的电压损失为:

三相-单相混合制配电系统

式中 rz、xz为零线(中性线)电阻、电抗;其余符号同前。

在设计高压配电系统时,一般使三相负荷大致均匀分配,并使三相的电压损失不致相等。干线三相线路导线截面可按对称负荷选择。单相分支线路导线截面可按电压条件选择,一般可选用最小允许截面(见导体截面选择)。

混合制配电系统的优点是:可以降低配电变压器的容量,缩短低压线路的供电半径和线路总长度,减小低压线路导线截面。与普通三相系统相比,高低压线路可以节约有色金属约25%~30%。但由于配电变压器数量增加,并非所有情况下都能节约投资,对负荷密度较小的地区可节约投资5%~10%。当高压侧为中性点直接接地系统时,单相分支线路采用一线一地制配电系统经济效益会更大。