登录| 注册    
收藏  点赞 

二线一地制配电系统

电压及跨步电压中国过去采用的规定,接地体的对地电压不得超过50伏。当工作电流I≥100安时,此要求难以实现。曾出现过接触电势、跨步电势引起的人身安全和牲畜安全问题。20世纪80年代初,根据均衡电位接地的观点,提出直接限制接触电势和跨步电势的数值,解决两线一地配电系统的接地安全问题。在正常运行情况下

含有两线一地配电线路(利用大地做一相导线的高压三相配电线路)的农村配电系统(图1)。由于两线一地配电系统存在一定的缺点,只能作为农村配电的辅助配电方式,适用于给负荷小的偏远农牧区供电。

图1 两线一地配电方式原理图

两线一地配电系统的接地是其运行关键之一,因在故障时,通过短路电流,正常运行时通过工作电流,在接地范围内,接触电势、跨步电势长期存在,需采取措施消除触电危险(见接地)。

允许接触电压及跨步电压

中国过去采用的规定,接地体的对地电压不得超过50伏。当工作电流I≥100安时,此要求难以实现。曾出现过接触电势、跨步电势引起的人身安全和牲畜安全问题。20世纪80年代初,根据均衡电位接地的观点,提出直接限制接触电势和跨步电势的数值,解决两线一地配电系统的接地安全问题。在正常运行情况下,接触电势Ej、跨步电势EK不应超过:

二线一地制配电系统

式中 Uj为长期允许接触电压;UK为长期允许跨步电压,一般Uj=UK≤25伏,在水田中Uj=UK≤10伏;ρb为土壤电阻率(欧·米)。

在两线一地配电系统发生三相短路时,接触电势Ejd不应超过:

二线一地制配电系统

式中 ρb为土壤电阻率(欧·米);t为短路电流持续时间(秒)。

在两线一地配电系统施工验收中,应计算、测量接地范围内电压分布,保证接触电势及跨步电势不超过允许值。

接地电阻

按照均衡电位接地的观点,两线一地系统的接地电阻R应同时满足:

二线一地制配电系统

式中 Ej、Ejd为长期及短路时的允许接触电势;I为最大工作电流(安);Id为最大三相短路电流(安);Kj为接触系数。

变电所的容量要受两线一地配电系统的接地电阻值的限制。

电压损失计算

架空相与地相需分别计算,架空相的电压损失折算成线电压损失为:

二线一地制配电系统

式中 ΔU为一段两线一地系统架空相电压损失(伏);I为通过该段线路的最大负荷电流(安);L为该段线路长度(千米);r0为线路架空相的单位电阻(欧/千米);φ为功率因数角;x0=0.1445lg=xd+xr为架空相的单位电抗(欧/千米),其中xd=0.1445lgD架空相的单位互电抗,D为架空相线间距离(米),xr=0.1445lg为架空相的单位自电抗,r为导线的归算半径(米)。

多段线路用叠加法计算线路的总电压损失。

地相的电压损失由大地中的电压损失及接地的电压损失两部分组成,大地中的电压损失折算成线电压损失ΔUdd(伏)为:

二线一地制配电系统

式中 I为线路的最大工作电流(安);L为线路长度(千米);φ为功率因数角;r0d=1/3(r0+2rd)(欧/千米)为地相单位电阻,r0为架空导线的单位电阻,rd=0.05欧/千米为大地的单位电阻(与土壤电阻率无关);x0d=1/3(xe+xr-xd)(欧/千米)为地相单位电抗,xe=0.1445lg(92.24)为与地中电流等值深度有关的大地单位电抗,92.24为地中电流等值深度(米);ρ为土壤电阻率(欧·米)。多段线路用叠加法计算地中的总电压损失。

接地装置上的电压损失折算成线电压损失ΔUj(伏)为:

二线一地制配电系统

式中 Ifz为共用同一接地装置的各条两线一地出线的总负载电流(安);R为共用接地装置的接地电阻(欧)。上式中忽略了负荷侧配电变压器接地电阻上的电压损失(其值小于20伏)。

地相的电压损失折算成线电压损失为ΔUdx=ΔUdd+ΔUj≈ΔUdd。地相的电压损失一般小于架空相的电压损失,由此造成用户侧电压的不对称。

导线截面选择

一般按允许电压损失选择,以架空相电压损失不超过允许电压损失为控制条件。计算方法同普通三线三相制(见导体截面选择)。

短路电流计算

在短路后等值电路(图2和图3)图中Za=Zb=(r0+jx0)L。Za、Zb为架空相的阻抗,r0、x0、L为短路点到变电所间两线一地线路的长度(千米)。Zc为地相的阻抗,Zc=R+0.05L+jxel,R为变电所的接地电阻(欧);0.05欧/千米为大地的单位电阻。

图2 三相短路电路

图3 两相短路电路

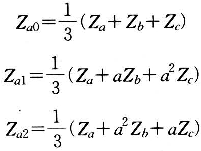
阻抗Za、Zb和Zc三个复数量的对称分量为:

二线一地制配电系统

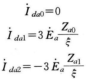
当电源电动势对称时,发生三相或两相短路,短路电流的对称分量均为:

二线一地制配电系统

式中为A相路电流的零序、正序和负序分量(安);为A相等值电势(伏);ξ=ZaZb+ZbZc+ZcZa(欧2)。

两线一地系统发生三相短路时(图2),A相短路电流为:

二线一地制配电系统

发生两相短路(即一相接地,图3),A相短路电流为:

二线一地制配电系统

式中符号同前。

在精确计算短路电流时,Za、Zb、Zc还应包括系统电源的内阻抗。

对电信线路的影响

两线一地制系统在正常运行时,对电信线路的影响有:①静电影响(电容耦合)。两线一地制系统的架空两相对地存在电压,经电容耦合,使附近电信线路上感生对地电压。②电磁影响(电磁耦合)。两相一地系统的架空两相导线通过电流之和与地中电流大小相等方向相反,构成回路,在线路附近存在较强的电磁场,由于互感,使附近电信线路感生纵电势。两线一地系统对于以大地为导线的单线电信线路影响尤为突出。在确定两线一地制线路的路径时,应计算对电信线路的影响,并采取措施将影响限制在允许的范围内。

由于两线一地制系统在技术上存在着缺点,其适用条件为:①用电负荷小,两线一地系统35(60)/10千伏变电所的容量不超过5600千伏安;②没有重要电信线路的农业用电区域;③土壤电阻率不超过100欧·米接地容易实现的地区。