登录| 注册    
收藏  点赞 

导体截面选择

按照规定的技术、经济条件选择农村电力网各种导体截面的方法。导体截面的预选按照规定的条件预选导体截面,以保证导体安全、经济地运行,并满足电压质量要求。按经济电流密度选择导体截面综合考虑节约导体材料并降低电能损失,使年费用支出最小的电流密度称为经济电流密度。各国根据各自的国情和技术经济政策确定其数值,中国于1955年由电力工业部制订了经济电流密度值

按照规定的技术、经济条件选择农村电力网各种导体截面的方法。

导体截面的预选

按照规定的条件预选导体截面,以保证导体安全、经济地运行,并满足电压质量要求。

按经济电流密度选择导体截面

综合考虑节约导体材料并降低电能损失,使年费用支出最小的电流密度称为经济电流密度。各国根据各自的国情和技术经济政策确定其数值,中国于1955年由电力工业部制订了经济电流密度值,见表1。

表1 导体的经济电流密度(安/平方毫米)

按经济电流密度计算导体截面的公式为:

导体截面选择

式中 S为导体的经济截面(平方毫米);Ifm为导体正常运行时最大负荷电流(安);为经济电流密度(安/平方毫米)。所选择的导体标准截面应尽量接近式(1)的计算值。若无合适的导体规格,允许选择比计算值偏小的标准截面。

按长期允许电流选择导体截面

保证导体温度不超过正常最高允许温度,根据热平衡条件导体中通过的长期最大电流称为长期允许电流(亦称允许载流量)。裸导体的正常最高允许温度一般为+70℃,在计及日照影响时,钢芯铝绞线及管形导体可达到+80℃;电缆芯线的正常最高允许温度与电缆的绝缘材料及结构有关,一般为+45℃~+80℃。在规定(或标准)环境条件下,可从有关规程中查得导体的长期允许电流。对于裸导体,其长期允许电流值,须按所在地区海拔高度及环境温度进行修正;对于电缆芯线,其长期允许电流值,须按敷设方式、线路环境温度和散热条件(并行敷设回路数、直接敷设土壤热阻系数)进行修正。导体满足的条件为:

导体截面选择

式中 Icm为考虑故障条件下,负荷转移通过导体的长期最大电流(安);Igy为规定环境条件下,导体的长期允许电流(安),由计算或查表决定;K为环境条件综合修正系数。计算后,导体截面一般选择较标准规格偏大。

按允许电压损耗选择导体截面

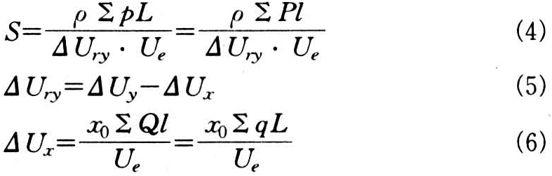
为达到供电电压质量标准,对配电线路规定的最大电压损耗称为允许电压损耗。选定的配电线路导线截面,应保证线路电压损耗不超过允许值。中国城市3~10千伏架空配电线路的允许电压损耗,为线路额定电压的5%,低压配电线路亦为5%;农村低压配电线路为7%。农村配电线路的允许电压损耗还可以根据电压质量标准(允许电压偏移)计算确定。自电网电压控制点(有调压设备的变电所母线或发电厂母线)至电网末端各元件在用户端形成的电压偏移可以下式近似计算:

导体截面选择

式中 δu为用户端电压偏移百分数(基值为线路额定电压);ΔUsi为第i个元件(变压器、调压设备等)形成的电压升高百分数,配电线路的ΔUsi=0;4Ui为第i个元件的电压损耗百分数;η为电网负荷与最大负荷的比值。令最大负荷(η=1)时,电网末端M点的电压偏移δu不小于允许电压负偏移(农村用户为-10%);最小负荷(η=0.25~0.3)时,低压配电线路首端S点的电压偏移不大于允许电压正偏移(+5%),以确定各级配电线路的允许电压损耗。配电线路允许电压损耗与调压设备的调压范围、电网串联元件数目有关。确定允许电压损耗后,当全线路导线截面相等时,计算公式为:

导体截面选择

式中 x0为线路单位电抗,架空配电线路x0=0.38~0.4欧/千米;ρ为导线材料电阻率(欧·平方毫米/千米);Ue为配电线路额定电压(千伏);p、q为负荷有功功率(千瓦)、无功功率(千乏);P、Q为通过每段线路的有功功率(千瓦)、无功功率(千乏);l为每段线路的长度(千米);L为每一个负荷点到线路首端的线路长度(千米);∑pL=∑Pl为负荷矩;ΔUx为线路电抗形成的电压损耗(伏);ΔUry为导线电阻形成的最大电压损耗(伏);ΔUy为配电线路的允许电压损耗(伏)。

当各段线路导线截面不相等时,由式(5)计算的电阻最大电压损耗ΔUry,先按不同条件分配到每一段线路,再用与式(4)相似的公式计算各段导线的截面。第i段线路的导线截面计算式为:

导体截面选择

式中 ΔUryi为第i段线路导线的电阻最大电压损耗;(ΣPl)i为第i段线路的负荷矩。

计算后,选择比计算值偏大的标准规格导线截面。

导体截面的验算

根据具体技术、经济条件选择的导体截面,还需要按机械强度、电晕、热稳定及电动稳定条件进行验算,以最终选定导体截面。

按机械强度验算导体截面

为保证高、低压架空线路施工和运行的安全,导线应具有一定的机械强度,选用的导线截面应不小于表2所列的最小允许截面。

表2 导线的最小允许截面(平方毫米)

按电晕条件验算导体截面

110千伏及以上电力系统中导体的电晕临界电压应高于导体的工作电压。对于选定的导体半径、导体相间几何平均距离的条件下,三相系统导线临界电晕线电压U0,以下式计算:

导体截面选择

式中 U0为临界电晕线电压有效值(千伏);K=0.96为三相导体水平排列时,考虑中间导体电容比平均电容大的不均匀系数;m1为导体表面粗糙系数,对于绞线取0.9;m2为气候系数,晴天取1.0,阴雨天取0.85;r为导体半径(厘米);ajj为导体相间几何平均距离,三相导线水平排列时ajj=1.26a,a为相间距离(厘米);δ为空气相对密度δ=2.89×10-3,P为大气压力(帕),t为空气温度,t=25-0.005H℃,H为海拔高度(米)。海拔高度不超过1000米的地区,110千伏系统导线最小型号为LGj-70/10,管形导线最小外径为20毫米时;220千伏系统导线最小型号为LGj-300/15、管形导体最小外径30毫米时,可以不进行电晕验算。

按热稳定条件验算导体截面

载流导体耐受短路电流热效应而不致损坏的能力,称为导体的热稳定性。为了简化计算,工程上常采用在短路时导体发热的最高温度不超过其最高允许温度的条件下,所需导体最小截面来校验载流导体的热稳定性,所选导体截面应大于或等于此最小截面。对于裸导体,验算其热稳定的最小截面的公式为:

导体截面选择

式中 Smin为裸导体的最小截面(平方毫米);Qd短路电流热效应(安2秒),Qd=I2(tcp+0.05β″2),I为三相短路时稳态短路电流(安),β″=I″/I′,I″为短路电流起始值(安),tcp短路电流周期分量发热等值时间(秒),C为热稳定系数,由表3确定。

表3 裸导体热稳定系数C值

对于电缆线芯,验算其热稳定的最小截面公式为:

导体截面选择

式中 Smin为电缆线芯最小截面(平方毫米);C为热稳定系数,近似地由表4确定;其余符号同前。

选定导体的截面接近式(9)或式(10)的计算值时,即为裸导体或电缆芯线热稳定校验合格。

按电动稳定条件验算硬导体截面

在冲击短路电流产生的电动力作用下,硬导体材料的应力不应超过允许值。单条硬导体的材料应力验算公式为:

导体截面选择

式中 σp为硬导体材料允许应力(帕),铜为137×106帕,铝为69×106帕;σmax为硬导体材料在冲击短路电流产生的电动力作用下的最大应力(帕);icj为三相短路时的冲击短路电流(安);L为导体支持绝缘子的跨距(米);a为导体间距(米),W为导体截面系数(米3),矩形母线按垂直放置时,W=,按水平放置,W=

送配电线路导线、电缆芯线、发电厂及变电所母线(汇流排)的选择,应在满足各种规定的技术条件前提下达到经济要求。一般按经济电流密度预选导体截面,再按验算条件验算。当某种条件得到自然满足或起控制作用时,其他条件亦可不必计算或验算。

表4 电缆线芯热稳定系数C值