登录| 注册    
收藏  点赞 

农药光解作用

大气、水体中或物体(如植物和土壤)表面上的农药在光诱导下进行的化学反应,是农药的一个重要的非生物降解途径,对农药残留、药效、毒性及环境均有重大影响。许多国家规定农药在登记时,应提供光解研究资料。其研究意义具体可归纳为四个方面:①农药的光解速度及产物与药效、环境安全性关系密切,因此,研究农药光解作用是评价其药效和环境安全性的一个重要方面。

大气、水体中或物体(如植物和土壤)表面上的农药在光诱导下进行的化学反应,是农药的一个重要的非生物降解途径,对农药残留、药效、毒性及环境均有重大影响。许多国家规定农药在登记时,应提供光解研究资料。其研究意义具体可归纳为四个方面:①农药的光解速度及产物与药效、环境安全性关系密切,因此,研究农药光解作用是评价其药效和环境安全性的一个重要方面。②研究农药的光化学反应机制,可以有目的地设计、改变其化学结构或剂型,使农药具有适当的光稳定性,在充分发挥药效后,迅速降解。拟除虫菊酯类农药就是在改变其分子结构或通过添加抗氧化剂等物质,提高了光稳定性,于1973年合成了第一个光稳定性氯菊酯,其后得以广泛应用。③利用农药的光解作用,消除残留,治理污染。④农药直接光解的产物往往与生物代谢产物相同,研究农药光解可以初步推测复杂的生物代谢产物和途径,为农药代谢研究提供参考资料。

简史

农药光解研究始于20世纪60年代初。1961年莱顿(P.A.Leighton)用动力学公式计算空气中挥发性化学品光解速率,1977年克罗斯比(D.G.Crosby)等对滴滴涕气相光解进行了研究。1975年伍德罗(J.E.Woodrow)等发现果园中紫外光下土壤表面的对硫磷更易转化为对氧磷,1980年斯潘塞(W.F.Spencer)等确认这是间接光解。策普(R.G.Zepp)等1977年测定了农药在水环境中直接光解速率。70年代中至80年代初,克罗斯比、策普等人先后研究了艾氏剂、甲氧滴滴涕、乙拌磷、禾草丹等在水中的光解过程,发现自然水中光解速率是蒸馏水中的100倍,证实自然水中农药间接光解是非常重要的光解过程。80年代中期以前,主要研究光解的不利后果,如光解失效,影响防治效果,光解产物对哺乳动物或环境生物毒性增强等。近年来,人们已开始注意应用农药光解为农业生产服务,如人为控制农药光化学反应以提高防治效果,减少农药对环境的危害等。

作用原理

农药(或其他物质)必须吸收适当波长的光能呈激发态分子,才能进行光化学反应。太阳发射光谱较宽,但到达地球表面最短波长为286.3纳米。286.3纳米以下波长的光几乎全被臭氧层吸收。太阳光中的紫外光(290~450纳米)是环境中农药进行光化学反应最重要的因素。光化学反应可以用爱因斯坦定律来说明,农药(或其他物质)分子吸收辐射光量子被激发,激发过程所传递的能量与光波长有关,可用下式表示:

E=hv=hc/λ=2.8591×105/λ

式中 E为辐射能;h为普朗克常数;v为辐射频率;c为光速;λ为波长。

由此公式可以计算出给定波长传递的能量。波长越短,能量越高。当波长为300纳米时,将有399千焦/摩尔传递给分子,这些能量足以使大多数共价键断裂。

分类

按光化学反应过程可分为直接光解和间接光解。①直接光解:农药分子吸收光能呈激发状态后与周围环境试剂的反应。在纯水或饱和烃中,农药进行的光解都是直接光解。②间接光解:环境中存在的某些物质吸收光能呈激发状态再诱发农药参与反应。本身不吸收太阳光的农药进行的光解都是间接光解。间接光解包括光敏化光解(sensitized photodegradation)、光诱导降解(photoinduced degradation)两种。光敏化光解即激发供体(光敏剂)把激发能量传递给受体分子(农药),农药再进行光化学反应的过程。天然光敏剂如丙酮、鱼藤酮、色氨酸、腐殖质、叶绿素等,广泛存在于植物、土壤和水中。光诱导降解即农药同光化学过程生成的中间体进行反应而降解的过程。光诱导剂如二乙基苯胺、二苯基胺、三苯基胺等,都可以诱导农药降解。

按其光化学反应类型主要分为光氧化(photooxidation)、光水解(photohydrolysis)、光还原(photoreduction)、分子重排(rearrangement)、光异构化(photoisomerization)、光亲核取代(photonucleophilic replacement),还有农药同环境中其他污染物如聚环芳香烃、氯代苯、PCBs等进行光化学交互反应,称为光结合反应(photoincorporation)。

光氧化反应

硫逐型磷酸酯及含硫醚键和芳甲基的农药,在紫外光下、光氧化剂存在时进行的氧化反应。是最重要的光解过程。硫逐型磷酸酯对硫磷在田间条件下,植物表面、尘埃表面及对硫磷蒸气中光氧化为毒性更高的对氧磷,可造成农业工人接触或呼吸中毒。为此,在果园喷洒农药后,规定了“再进入”期限。含硫醚键农药如丙虫磷、禾草特等可光氧化生成亚砜和砜,其生物活性增强。禾草特在纯水中、紫外光下是稳定的,自然水中因含有色氨酸和过氧化氢,能促进禾草特的光氧化反应,因此在田间、阳光下禾大壮可迅速光解。芳甲基的氧化使其生物活性降低。如杀螟硫磷在非极性溶剂中(乙烷),分子中的芳甲基氧化为羰基;在极性溶剂(甲醇)中则氧化为羧基。

光水解反应

许多含有酯键或醚键的农药,在紫外光下,存在水或水气时发生的水解反应。水解部位往往发生在酯基上。对硫磷和苯硫磷光水解生成对硝基酚。N-甲基氨基甲酸酯化合物水解为相应的酚。除草醚水悬浮液光水解致使醚键断裂,分解为2,4-二氯酚和对硝基酚。拟除虫菊酯在光照下酯键断裂(图1)。

图1 拟除虫菊酯的光解之一(酯键断裂)

光还原反应

含氯原子农药在紫外光下进行的还原脱氯反应。如二氯苯酯菊酯在光照下生成一氯苯醚菊酯,TCDD(2,3,7,8-四氯二苯并—对—二恶英)为一痕量、高毒的环境污染物。紫外光下,TCDD纯品在固体表面和水中是稳定的;在有机溶剂中,其环上的氯原子能逐步被氢取代,光还原成低毒产物(图2)。2,4,5-三氯苯氧乙酸乳剂中往往含有微量的TCDD,田间施用时,因有烃类溶剂(氢的供体)存在,在叶面和土壤表面,TCDD可迅速光解。人们已经应用这一特性处理TCDD的污染事故,有效地破坏环境中TCDD,达到解毒和消除污染的目的。

图2 TCDD在有机溶剂中的光解

分子重排

环戊二烯类杀虫剂吸收光能,分子内重排生成较稳定光化物的过程。如狄氏剂形成光化狄氏剂,光化狄氏剂较稳定,对某些蝇类的毒效高于狄氏剂(图3)。

图3 狄氏剂转化为光化狄氏剂

光异构化

某些农药分子在光作用下,形成更加稳定异构体的过程。六六六各异构体在水溶液中对光的稳定性按下列顺序递增,丙体<乙体<丁体<甲体,所以,光照时六六六水溶液中有微量其他异构体向甲体转化。有机磷农药的光异构化主要是分子中硫逐型(P=S)转化为硫赶型(P—S),如对硫磷的芳基异构化和乙基异构化(图4)。硫代磷酸酯的异构产物对胆碱酯酶抑制作用增强。

图4 对硫磷的光异构化

紫外光可诱发顺反异构化作用。顺式或反式速灭磷经紫外光照射后都变成顺式约30%,反式约70%的混合物(图5)。

图5 紫外光诱发速灭磷异构化

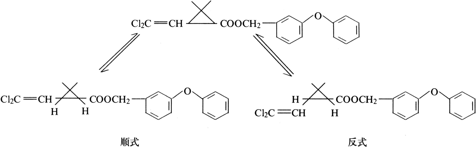
二氯苯醚菊酯、溴氰菊酯等带有环丙基的拟除虫菊酯的光化学反应主要是顺式和反式异构化。光照下,不论是顺式或反式,首先1,3-环丙烷断裂,然后断裂的环丙烷又闭环而异构化(图6)。

图6 拟除虫菊酯的光解之二(异构化)

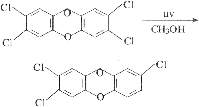
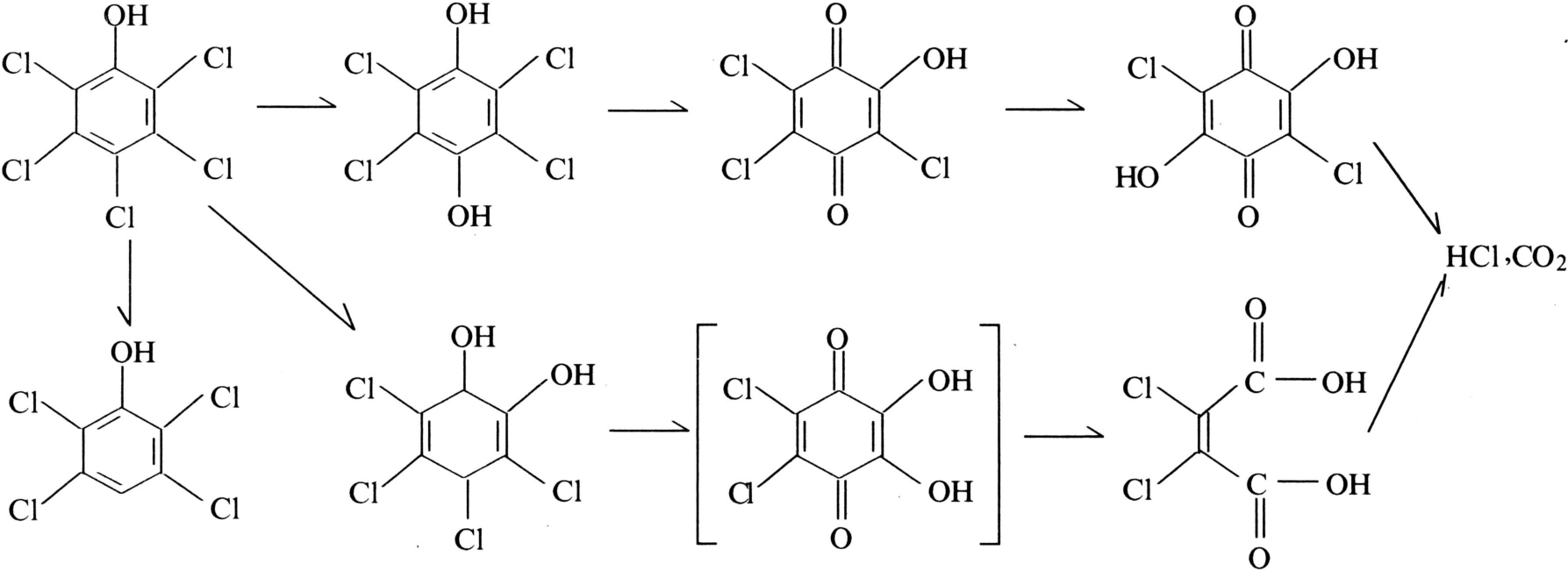
光亲核取代反应

光照下,农药芳香环上氯原子被羟基取代的反应。如2,4-滴水溶液在紫外光下,主要光化学反应是苯环上氯原子逐步被羟基取代。五氯酚在水中光解过程首先是邻位、间位和对位氯原子被羟基光亲核取代生成二元酚,进一步氧化成醌,环开裂生成2,3-二氯马来酸,马来酸吸收紫外光再进一步光解成无机物。起始的光亲核取代反应是五氯酚光解的关键(图7)。

图7 五氯酚在水中(pH8)光解

光解实验

光解实验设计的原则是:农药浓度、光源波长和介质,要尽可能接近实际情况。田间实际情况是农药在空气中、水中、作物表面或土壤表层进行光解,因此,光解实验常在气相、液相(水中)、固相(叶面、玻璃片、滤纸上或土壤表层)进行,测定农药光解速率、半衰期、光化学反应类型、鉴定主要光解产物。①光源:光解实验最好在太阳光下、田间进行,但由于太阳光照度和波长因时间、地点不同而异,且光解反应还受其他环境因素影响,不易获得重复结果,也难于区分光解与其他途径分解。选用氙灯、荧光灯(黑光灯、太阳灯等)、汞弧灯等人造紫外灯作为光源(图8),在光解反应器中进行,则可克服上述缺点。人造光源要选用290纳米以上的紫外光;光解反应器容器选用硼硅玻璃、石英玻璃和聚四氟乙烯等材料。硼硅玻璃对290纳米以下的紫外光透过率不到1%,用作光解反应器容器比较合适。②农药:被测农药应为纯品,不能使用工业品或制剂。任何农药都应进行间接光解实验。对吸收光波长在290纳米以上的农药应进行直接光解实验。③介质:水中农药光解实验必须使用空气饱和的纯水,可以添加不超过1%(体积比)的分光光度级乙腈作潜溶剂,增加农药的溶解度。可解离农药,测定吸收光谱和进行光解实验时,应在缓冲溶液中进行。缓冲溶液的浓度要低,必须透过290纳米以上的光,其pH值要考虑该农药的pKa值。气相光解研究的气体如空气、臭氧等也应选用分析纯的。土壤光解研究应该使用最少量具有代表性的土壤。在进行农药间接光解研究时,光敏剂、光诱导剂等也应该使用纯品。④仪器:测定农药紫外光和可见光吸收光谱应使用双束分光光度计。测定液相吸收光谱时,使用1厘米或10厘米石英比色杯;气相时使用10厘米或更窄的气体吸收杯;固相时使用0.1厘米石英杯。用薄层(TLC)、气—质联用(GC-MS)、液—质联用(LC-MS)、红外光谱仪等现代分析仪器测定农药光解速率,分离和鉴定主要光解产物。(见彩图47、53

图8 几种光源的发射光谱