登录| 注册    
收藏  点赞 

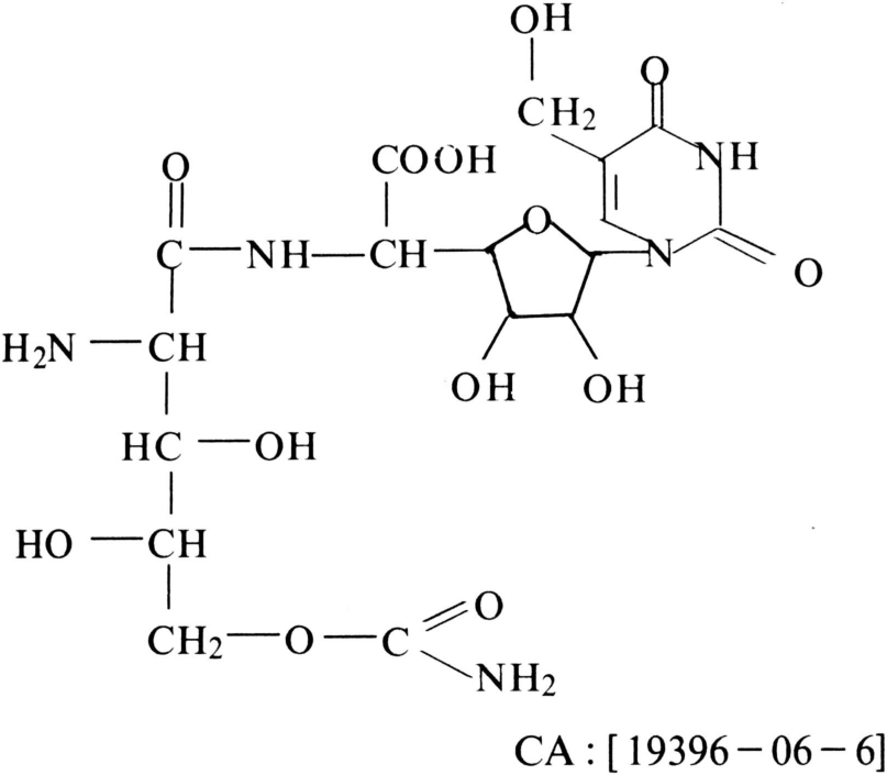
多抗霉素

内吸性肽嘧啶核苷酸抗生素类杀菌剂。中国的多抗霉素主要成分是多抗霉素A(polyoxin A)和B(polyoxin B),由A至N14种不同的同系物组成的混合物,是金色链霉菌(Streptomyces aureo chromogenes)产生的代谢物。日本生产的类似产品称多氧霉素。它是可可链霉素阿苏变种(Streptomyces cacaoi var.asoensis)产生的代谢物。

内吸性肽嘧啶核苷酸抗生素类杀菌剂。中国的多抗霉素主要成分是多抗霉素A(polyoxin A)和B(polyoxin B),由A至N14种不同的同系物组成的混合物,是金色链霉菌(Streptomyces aureo chromogenes)产生的代谢物。日本生产的类似产品称多氧霉素。它是可可链霉素阿苏变种(Streptomyces cacaoi var.asoensis)产生的代谢物。主要成分为多抗霉素B。商品名保利霉素、宝丽安(Polyxin B)。多抗霉素B的结构式见下页。

性能

多抗霉素A和B的混合物含量为84%(相当于84万单位/克),为无色针状结晶,熔点180℃。多抗霉素B纯品为无色结晶,工业品为浅棕色不定型粉末,熔点160℃,易溶于水,不溶于有机溶剂。对紫外线稳定,在酸性和中性溶液中稳定,在碱性溶液中分解。对温血动物低毒。原药小鼠和大鼠急性口服LD50>20000毫克/千克,大鼠急性经皮LD50>1200毫克/千克,大鼠急性吸入LC50>10毫克/升,对兔皮肤和眼睛无刺激作用。在动物体内无蓄积,易排出体外。在试验剂量内无致突变、致畸和致癌作用。两代繁殖试验及迟发性神经毒性试验未见异常。两年慢性喂饲试验无作用剂量,雄、雌大鼠分别为2943和3146毫克/千克·天,雄、雌小鼠分别为6372和6748毫克/千克·天。对鱼和水生生物低毒,鲤鱼48小时LC50>40毫克/升,水蚤3小时LC50>40毫克/升。对蜜蜂低毒,LD50>1000毫克/千克。具有较好内吸传导作用。作用机制是干扰病原菌细胞壁几丁质的生物合成。能使芽管和菌丝体局部膨大、破裂,细胞内含物泄出,导致死亡。此外还能抑制孢子的产生和病斑的扩大。

多抗霉素

应用

主要用于防治小麦白粉病、水稻纹枯病、黄瓜霜霉病、瓜类枯萎病、苹果斑点落叶病、草莓和葡萄灰霉病、人参黑斑病、林木枯梢及梨黑斑病等多种真菌病害。在防治苹果斑点落叶病时,可与波尔多液交替使用。防治草莓灰霉病在开花初期开始喷药,使用浓度为13~20毫克/升。其常用制剂有10%乳油、10%、2%和1.5%可湿性粉剂。此外还有和8-羟基喹啉铜、克菌丹、敌菌丹的混剂。此药剂不宜与酸性和碱性药剂混用。