登录| 注册    
收藏  点赞 

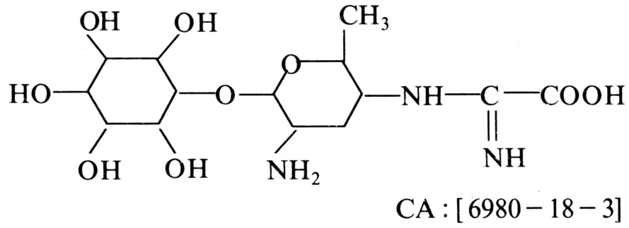
春雷霉素

强内吸选择性抗生素类杀菌剂。化学结构式: 春雷霉素 日本首先由奈良县土壤中分离出的放线菌M-338(Streptomyces kasugaensis)的代谢物中制得,1963年由北兴化学工业公司推广生产。中国1964年从江西泰和县土良地区土壤中分离出的小金色放线菌(Streptomyces basugaensis)代谢物中制得。性能以盐酸盐形式存在。

强内吸选择性抗生素类杀菌剂。化学结构式:

春雷霉素

日本首先由奈良县土壤中分离出的放线菌M-338(Streptomyces kasugaensis)的代谢物中制得,1963年由北兴化学工业公司推广生产。中国1964年从江西泰和县土良地区土壤中分离出的小金色放线菌(Streptomyces basugaensis)代谢物中制得。

性能

以盐酸盐形式存在。日本报道其盐酸盐为白色针状结晶,熔点为202~204℃,在204℃分解。中国春雷霉素的盐酸盐为白色针状或片状结晶,熔点206~210℃,并在210℃分解。易溶于水,微溶于甲醇,不溶于乙醇、丙酮、苯等有机溶剂,在酸性和中性溶液中比较稳定,在pH5条件下,于5℃贮存10周,效价不变,而在pH9条件下,效价则降至42.6%。低毒。原粉对小鼠急性口服LD50>8000毫克/千克,对大鼠急性经皮>4000毫克/千克。大鼠急性吸入LC50>2.4毫克/升。对鼠眼和皮肤无刺激,在动物体内无明显蓄积作用。试验未发现致突变、致畸和致癌作用。繁殖试验和迟发性神经毒性试验未见异常。两年慢性饲喂试验,大鼠无作用剂量为1000毫克/千克。对鱼和水生生物低毒,对鲤鱼48小时TLm>40毫克/升,对蜜蜂毒性较低,无作用剂量>40微克/只。对鸟低毒,对鹌鹑LD50>4000毫克/千克,对家蚕无作用剂量>20毫克/千克。对稻瘟病高效,在很低的浓度下,就能得到良好的防治效果,内吸性强,易被植株吸收并在体内传导。耐雨水冲刷,在喷药后3~5小时降雨,对药效无影响。药剂离体杀菌活性很差,但被植株体吸收后,可有效地控制菌丝在组织中的蔓延,而表现出内吸治疗作用。其作用机制为干扰酯酶系统,影响氨基酸代谢,从而影响蛋白质合成,同时表现出对菌丝体发育的抑制作用。对孢子萌发无影响。

应用

主要用于防治稻瘟病。防治叶稻瘟时,在发病初期用药。防治穗稻瘟病时,于孕穗末期和齐穗期各喷药一次。每次用药量为有效成分22.5~30克/公顷。在喷洒液中加入适量的展着剂,如中性肥皂,可提高防病效果。此外,也用于高粱炭疽病的防治。药剂对水稻、高粱安全,对大豆有药害。它与稻瘟净或克瘟散混用,可提高对稻瘟病的防治效果。