登录| 注册    
收藏  点赞 

原木材积

单根原木的去皮体积。以立方米表示。是原木生产、调拨和销售的计量依据。原木材积与原木干形有密切关系,原木干形不仅因树种有差异,而且也受到生长条件的影响。同一树干,其部位不同,干形也不一样。材积计算方法各国不尽一致,但大体上有以下4种:①按原木中央直径计算;②按原木大、小头平均直径计算;③按圆台体计算;④按分段求积法计算。

单根原木的去皮体积。以立方米表示。是原木生产、调拨和销售的计量依据。

原木材积与原木干形有密切关系,原木干形不仅因树种有差异,而且也受到生长条件的影响。同一树干,其部位不同,干形也不一样。材积计算方法各国不尽一致,但大体上有以下4种:①按原木中央直径计算;②按原木大、小头平均直径计算;③按圆台体计算;④按分段求积法计算。中央直径法,计算简单容易,但检量不方便,计算的材积比实际材积偏小,并且原木尖削度愈大,材积偏小程度愈严重。平均直径法计算的材积一般比实际材积偏大,原木尖削度愈大,材积偏大程度愈严重。圆台体法计算的材积与实际材积接近,精度较高,但计算比较复杂。以上三种计算方法适用于短材,若求长原木材积,会产生较大误差。分段求积法,即将原木按2米分段,用中央直径法或平均直径法计算每一段的材积而累加之,该法计算精度较高。在实际工作中,原木材积的确定是利用原木材积表查得的。中国1986年7月开始执行的原木材积表(GB4814—84)就是应用分段求积法,以下列两数式计算编制的。①原木小头检尺径为4~12厘米时

原木材积

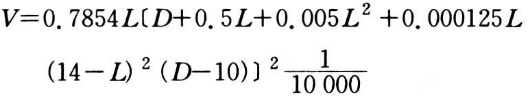
②原木小头检尺径为14~120厘米时

原木材积

式中 V为原木材积(立方米);L为原木检尺长度(米),范围为2~10米;D为原木小头检尺径(厘米),1/10000为单位换算系数。只要测得原木的小头直径和长度,即可在材积表上查出该原木的标准材积。