登录| 注册    
收藏  点赞 

木材胀缩性

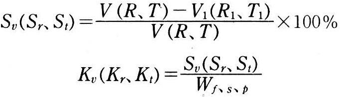
生材经过干燥之后,由于大气相对湿度的改变而导致的干缩或湿胀。木材胀缩性是木材使用中的重要问题。木材干缩湿胀不仅导致木材尺寸大小和形状产生变化,尚因胀缩不均匀形成内应力,使木材发生开裂、翘曲等。木材干缩性可以干缩率和干缩系数表示。 木材胀缩性 式中 Sv、Sr、St分别为木材体积、径向、弦向干缩率(%)

生材经过干燥之后,由于大气相对湿度的改变而导致的干缩或湿胀。木材胀缩性是木材使用中的重要问题。木材干缩湿胀不仅导致木材尺寸大小和形状产生变化,尚因胀缩不均匀形成内应力,使木材发生开裂、翘曲等。

木材干缩性

可以干缩率和干缩系数表示。

木材胀缩性

式中 Sv、Sr、St分别为木材体积、径向、弦向干缩率(%);V、R、T和V1、R1、T1分别为木材湿材状态时和绝干状态时的体积(立方厘米)和径向、弦向尺寸(厘米);Kv、Kr、Kt分别为木材体积、径向和弦向干缩系数(%);Wfsp为木材纤维饱和点含水率(%)。利用干缩率可以求出由湿材至绝干材时的体积(立方厘米)、径向和弦向尺寸(厘米)。

木材胀缩性

利用干缩系数可以求出由生材或湿材干至纤维饱和点以下任一特定含水率(W)时的体积、径向、弦向的干缩值(%)(Sv-w、Sr-w、St-w)。

Sv-w(Sr-w、St-w)=Kv(Kr、Kt)(Wfs、p-W)

木材之所以干缩,主要由于木材干燥时水分向外蒸发而散失。首先细胞腔内自由水(见木材含水量)蒸发,尔后细胞壁中纤丝之间、微纤丝之间和微晶之间的吸着水(见木材含水量)数量减少,其间的水层减薄,纤丝、微纤丝和微晶彼此更靠拢,以致细胞壁乃至整个木材的尺寸因之缩小。

木材干缩不是发生在木材水分蒸发的整个过程中,当含水率在纤维饱和点以上,自由水蒸发时,木材尺寸无变化,而只是在纤维饱和点以下,即自由水蒸发完毕,吸着水散失时才发生。在纤维饱和点以下,木材干缩率随着含水率的减少而逐渐增大,直至含水率减低到零和干缩率达到最大值为止,二者成一曲线变化关系。在实际使用上,为方便起见,常把木材干缩与含水率的关系视成一直线关系。在生产条件下,大尺寸的木材由于水分在整个木材体积内分布不匀,当木材平均含水率尚未低于纤维饱和点时,木材外部的含水率却已低于纤维饱和点,便会开始发生干缩,而木材内部的含水率仍在纤维饱和点以上,于是内外发生了干燥应力,产生表面硬化现象。一般正常的木材全干干缩率,纵向为0.1~0.3%,径向为3~6%,弦向为6~12%,体积干缩为9~14%。

木材纵向干缩与横向干缩的差别,主要是由于纤丝、微纤丝和微晶在初生壁、次生壁(见木材细胞壁构造)的内、外层上的排列方向与树轴近乎垂直;在次生壁的中间层(S2)则与树轴近于平行,而此中间层又占细胞壁的绝大部分,对木材干缩起主要作用。木材向外蒸发吸着水时,纤丝、微纤丝和微晶彼此间因失水而靠拢,即干缩,因中间层特别厚,所以木材横向干缩较大,纵向干缩很小。

而木材径向干缩与弦向干缩之差,原因复杂,不是某种单一原因,与木材的宏观、微观和亚微观构造都有关系。

木材湿胀性

以湿胀率和湿胀系数表示。

木材胀缩性

式中 Ev、Er、Et为木材体积、径向和弦向湿胀率(%);V、R、T和V1、R1、T1分别为木材润湿至生材状态时和烘干至绝干状态时的体积(立方厘米)和径向、弦向尺寸(厘米);Cv、Cr、Ct为木材体积、径向和弦向湿胀系数(%);Wfsp为木材纤维饱和点含水率。利用湿胀率可以求出木材由绝干状况润湿至达到纤维饱和点时或饱和时的体积(立方厘米)称尺寸(厘米)。

木材胀缩性

利用湿胀系数可以求出木材由绝干状况润湿至纤维饱和点以下任一特定含水率(W)时的体积、径向、弦向湿胀值(%)(Ev-w、Er-w、Et-w)。

Ev-w(Er-w、Et-w)=Cv(Cr、Ct)W

木材吸取水分后,细胞壁中纤丝之间、微纤丝之间和微晶之间的水层增厚,将微晶撑开,木材的细胞壁乃至整个木材尺寸因之胀大。其特征是水分子只渗入微晶之间,而不渗入微晶之内,微晶的结构没有变化,木材的X-射线衍射图也保持原状。只有在吸取吸着水时才发生湿涨,吸取自由水并不引起湿胀。木材放置在湿空气中,吸取水分,逐渐发生湿胀,称吸湿湿胀,如空气湿度为100%,直到细胞壁充满吸着水时湿胀达到最大为止。此时若将木材转浸水中,使其继续吸取水分,含水率尽管继续增加,但湿胀却不再继续发生,因为此时所吸取的水分为存在于胞腔的自由水。若干木材浸入水中或与水相接触,吸取液态水而发生湿胀,称吸水湿胀;平均含水率达到30%以后,湿胀仍继续,因为吸取液态水时,水系同时进入细胞壁和细胞腔。实际上此时细胞壁并未充满吸着水,同时试样水分分布不均匀,所以含水率达到30%以后仍随着水分的继续吸取而继续湿胀,直到含水率远远超过30%,细胞壁方为吸着水所充满,湿胀始达最大。木材的湿胀速度,因吸取水分的形式而不同。吸水湿胀,由于水分沿着木材有效大毛细管系统的快速移动,有助于细胞壁吸取吸着水,故远较吸湿湿胀快。木材湿胀随着吸取水分数量的增加而增大,但在不同含水率区间,湿胀的增大值是不一样的。当干木材从空气中吸取水分时,含水率从0到1~2%,由于微晶的表面发生的是单分子吸附,微晶之间水层厚度不大,湿胀较小;从1~2%到3~4%,湿胀显著增大;从3~4%到10~12%,湿胀随着含水率的增加而成比例地增大,此时细胞壁湿胀的数值等于所吸取的吸着水体积;当含水率从10~12%开始,到约30%这一区间,由于产生毛细管凝结现象,湿胀的增长不断下降。因而木材吸湿湿胀值与含水率的高低成一曲线关系,但实际使用上常将木材的吸湿湿胀与含水率的高低视成一直线关系。木材吸水湿胀后的体积小于木材原体积与所吸水分体积之和,产生体系缩小现象。体系缩小是由于位于微晶之间的水分,处在很大压力作用下的结果,其压力之大,可达300~400兆帕。绝干木材因润湿而发生湿胀,至纤维饱和点后重新烘干,干缩到原有状态时,湿胀曲线和干缩曲线不完全重合,只在含水率0.3%和在纤维饱和点附近才见有重合。此种湿胀与干缩之差即谓之湿胀滞后。因此木材的湿胀值和干缩值相近而不相等。

木材湿胀如同干缩一样,纵向湿胀极小,小至可略而不计,横向湿胀很大;横向中的弦向湿胀又远比径向大,一般相差2倍,具有差异湿胀性。无论吸湿湿胀或吸水湿胀,均随树种而异。一般说来,密度大者湿胀高。木材的差异湿胀,与密度成相反关系。同一横断面上,心材与边材的湿胀差异,并无一定规律。心材与边材的湿胀速度,因吸湿或吸水而异。心、边材的吸湿湿胀速度相差不多,但心材的吸水湿胀速度远较边材低。

木材的化学成分影响湿胀能力,如多缩戊糖含量高的纤维素湿胀大;木材以蒸汽蒸煮,由于多缩戊糖含量的减少,蒸煮后的木材湿胀显著降低。木材以浓度3~7.2%苛性钠溶液处理,由于木糖含量增多,处理后的木材湿胀明显增加,弦向湿胀率达45%,径向达20~27%。

木材吸取其他液体同样发生湿胀。如吸取的液体介电常数越高,湿胀越大;非极性液体或液体极性很小的,则不引起木材湿胀或湿胀甚小。但木材湿胀性与液体介电常数之间并不存在比例关系,因为除液体的极性以外,尚有其他因子影响木材湿胀性。