登录| 注册    
收藏  点赞 

木材电学性质

木材在电流(直流电或交流电)的作用下反映的各种性质。如木材的电阻率、介电常数、介质损耗和电绝缘强度等。木材电学性质的研究,能为木材作为电讯、交通和其他工业上的电绝缘材料,以及木材工业中应用高频电热技术、设计制造各种木材非破损测试仪器设备提供依据。木材直流电性质木材在直流电流作用下所反映的性质,主要是直流电通过木材时电阻率。

木材在电流(直流电或交流电)的作用下反映的各种性质。如木材的电阻率、介电常数、介质损耗和电绝缘强度等。木材电学性质的研究,能为木材作为电讯、交通和其他工业上的电绝缘材料,以及木材工业中应用高频电热技术、设计制造各种木材非破损测试仪器设备提供依据。

木材直流电性质

木材在直流电流作用下所反映的性质,主要是直流电通过木材时电阻率。

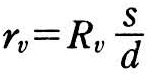
当直流电通过电介质——木材时,介质对通过的电流有阻力作用,还有消耗一部分电能的介质电性能,称直流电阻(R)。施于两电极的直流电压(U)与流过木材介质体积内的电流(I)之比,称体积电阻(Rv)。由体积电阻及电极和试样尺寸算出的电阻率,称体积电阻率(rv),以表征直流电阻率的高低,如下式:

木材电学性质

式中 rv为体积电阻率(欧姆·厘米);Rv为体积电阻(欧姆);s为测量电极面积(平方厘米);d为木材介质长度(厘米)。木材电阻率的倒数为电导率。绝干木材是良好的电绝缘材料。木材电阻率的大小因木材含水率、密度、树种、纹理方向和温度等而不同。其中以含水率影响最大,含水率增加时电阻率便降低,特别是在纤维饱和点以下,电阻率随含水率的增加明显降低,但在纤维饱和点以上含水率增加时电阻率降低减缓。中国树种绝干材的体积电阻率大多数为1016~1017欧姆·厘米,气干材的体积电阻率为109~1011欧姆·厘米,含水率在纤维饱和点以上的木材体积电阻率为108欧姆·厘米以下。

不同密度的树种对电阻率的影响比含水率的影响小得多。不同密度的树种的体积电阻率差异不太明显,只有当密度相差很大的树种之间才能看出密度较大的树种体积电阻率比密度较小的树种稍低的趋势。木材顺纹方向体积电阻率明显低于横纹方向,而径向与弦向体积电阻率差异不大,一般以弦向略大于径向。中国木材(含水率约为10%时)顺纹方向体积电阻率为1×109~9×109欧姆·厘米,径向为1×109~19×109欧姆·厘米,弦向为2×109~26×109欧姆·厘米。温度对木材电阻率影响较大,在一定的含水率范围内(0~20%)木材电阻率随着温度的增加而减小。

木材交流电性质

木材在交流电流作用下所反映的各种性质。

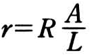
射频下木材电阻率在交流电场的射频下,木材单位面积(平方厘米)、单位长度(厘米)的电阻(R)称电阻率(r),以下式表示:

木材电学性质

式中 r为木材射频电阻率(欧姆·厘米);R为射频电阻(欧姆);A为木材介质面积(平方厘米);L为木材介质长度(厘米)。射频下木材电阻率与频率、介电常数和损耗角正切成反比。木材含水率在纤维饱和点以下,射频电阻率随含水率的减小而增加,但增加的程度比木材直流电阻率小。不同树种的射频电阻率随着木材密度的增加通常有减小的趋向。中国树种的木材含水率为10~12%、密度为0.24~1.12克/立方厘米时,其射频电阻率为4~26兆欧·厘米。木材横纹方向射频电阻率约大于顺纹方向2~4倍;径向与弦向射频电阻率差异不大。

射频下木材介电常数

木材介质在交流电场中介质极化情况和储存电能能力的一个物理量。以木材为介质时所得的电容量(C),对于以真空为介质时所得的电容量(C0)的比值(Σ)来表示。

木材电学性质

木材介电常数与频率以及与木材的水分、密度、纹理方向等有关。其中以含水率影响为显著,射频下绝干木材介电常数2,当含水率增加时,介电常数迅速增加,因为水分介电常数在1000兆周/秒时为81。在木材纹理方向上,顺纹方向上介电常数比横纹大30%,径向与弦向介电常数无明显差异,一般径向介电常数为1.6~1.7。同一树种,当含水率和纹理方向相同时,介电常数随频率的增加而减小;但在射频范围内,木材含水率越低,介电常数受频率的影响较小,反之则较大。木材介电常数随木材密度的增加而增大,如密度为0.24~0.32克/立方厘米,介电常数为1.93~2.45;密度为0.40~0.48克/立方厘米,介电常数为2.67~3.27;密度为0.72~1.12克/立方厘米,介电常数为4.37~7.17。

射频下木材介质损耗

木材介质处在交流电场中,由于介质极化,如果偶极矩取向滞后于所加电场的变化,此时每周(期)中将有一部分电能被介质吸收发热,这种现象称为木材介质损耗,以损耗角正切(tgσ)或功率因数(cosψ)表示。

介质损耗是表示电绝缘材料质量的指标之一,介质损耗越小,电绝缘性能越好,木材作为电绝缘材料时,希望介质损耗尽量小;但木材在高频加热和胶合中,介质损耗越大,发热量越高,木材越易加热和胶合,因而要设法提高介质损耗。介质损耗角正切,随所施加电压的频率和木材的纹理方向、密度、含水率及温度而变化。在相同频率下,介质损耗角正切随含水率和温度(-20~+90℃)的增加而增加,如烘干木材介质损耗角正切约为0.03,当含水率增加至20~25%时,为0.3。一般说来,木材密度大的比密度小的具有较高的介质损耗角正切。木材在烘干和气干条件下,顺纹方向介质损耗角正切比横纹方向约大1倍。

射频下木材电绝缘强度

介质(如木材)在外施电压达到某一极限时就失去电绝缘性能的特性,称为电击穿。被击穿瞬间所施加的最高电压称为击穿电压。击穿处常发生电火花或电弧以致造成穿孔、开裂、烧坏等现象。木材抵抗此电击穿能力称为木材电绝缘强度或木材电击穿强度。电击绝缘强度和击穿电压的关系是:

木材电学性质

式中 E0为电绝缘强度(千伏/毫米);U0为击穿电压(千伏);h为两极间距离(毫米)。木材电绝缘强度随树种、含水率、纹理方向而不同。木材电绝缘强度随含水率的减小而增高,如干木材的电绝缘强度为5~7千伏/毫米,气干木材为4~6千伏/毫米,长期处于100%相对湿度中的木材为1~2千伏/毫米。干木材电阻率高、电绝缘强度大,是很好的电绝缘材料。但木材具有吸湿性易受潮,降低电绝缘性能,所以木材又不宜用作高度的电绝缘材料。