登录| 注册    
收藏  点赞 

农业投资经济效果评价

有效的投资是使农业持续发展,增强农业后劲的重要条件。美国在20世纪30年代对田纳西流域的全面规划和开发建设中,重视经济效果评价,其成效显著。中国自20世纪80年代初期以来,也日益重视农业投资的经济效果评价。

农业基本建设投资经济效果评价”的简称。从取得的有用效果和投入的劳动耗费相互间的数量关系,对农业投资进行比较、分析和选优。农业投资是为农业扩大再生产、改善生产条件而投入的劳动耗费,包括财力、物力和人力的投放,但不包括为维持当年简单再生产而支付的各种费用。用于这方面的财力、物力和人力是垫支在劳动手段上的资金。它所产生的有用效果,将以固定资产的形式保存在后续使用过程中。

农业投资的成效直接关系到国计民生。有效的投资是使农业持续发展,增强农业后劲的重要条件。美国在20世纪30年代对田纳西流域的全面规划和开发建设中,重视经济效果评价,其成效显著。中国自20世纪80年代初期以来,也日益重视农业投资的经济效果评价。在社会主义农业现代化建设中,通过对投资进行经济效果评价,选择最优投资方案,找出提高农业投资经济效果的途径,可用较少的投资,完成尽量多的农业建设项目,更合理地开发利用各种资源,加快农业建设步伐。同时,还可认清不同地区农业生产建设的有利和不利因素,扬长避短,发挥优势,合理分配和使用投资。

评价的内容

农业投资的有用成果,首先表现为新形成的各类固定资产,即农业投资的直接有用成果。如通过投资活动竣工的水库、公路、河道、沟渠、桥梁、涵闸、排灌站、机井、加工厂房等各种工程,增置的各种机械设备,营造的防护林,增殖的役畜和产畜,以及扩大的排灌面积,建成的稳产高产农田等。对这些固定资产本身在形成过程中的投入与产出进行分析、比较和选优,是农业投资经济效果评价的重要内容。但是,这些固定资产,只是农业扩大再生产的基本条件和物质基础,它们对提高农业劳动生产率、增产农产品、降低产品成本、增加盈利的具体作用,即它们的最终有用成果,须经过实际的运用才能体现出来。因此,农业投资经济效果评价,不仅包括农业投资直接经济效果评价,也包括农业投资最终经济效果评价。把这两方面的评价正确地结合起来,才能全面准确地反映、考核和评价农业投资的经济效果。农业投资经济效果评价,可从微观经济角度,就个别单位或地区进行农业投资项目的财务分析,也可从宏观经济角度,就整个国民经济进行农业投资项目的经济分析。由于微观分析和宏观分析的角度不同,二者评价的着眼点和方法也不一样,甚至对某些有关因素的处置也不相同。例如,税收对个别单位是一项支出,但从国家的角度进行分析时,它却是一项收入。

静态分析评价指标

评价农业投资的经济效果,如不考虑货币的时间价值,只就投资的所得与所费进行实际发生额的对比,属于静态分析评价。这是农业投资实践中比较常用的一种评价方法。其优点是通俗易懂,容易掌握运用:缺点是没有考虑时间因素的作用。

静态分析评价所采用的指标及其计算方法:①农业投资直接经济效果的评价指标。

农业投资经济效果评价

如新增每单位旱涝保收农田的平均投资额、新增每立方米库容的平均投资额。此指标的倒数为单位投资新增生产能力(或效益)。

农业投资经济效果评价

如建造畜舍平均每平方米的造价、平整土地平均每公顷地的用工量等。

农业投资经济效果评价

农业投资经济效果评价

②农业投资最终经济效果的评价指标。

农业投资经济效果评价

除以上主体指标外,还可配合运用辅助指标,包括农业投资经济分析指标,如农业工程的建设工期、物质技术装备指标、劳动力利用指标、成本指标以及产量、产值、收入指标等;农业投资技术效果指标,如建设工程质量指标、建设项目投产率指标、各业生产的技术效果指标等;农业投资目的指标,如人均农产品占有量、人均收入、农产品商品率、合作经济或农户积累水平等。

动态分析评价指标

评价农业投资的经济效果,如果考虑到时间因素的作用,就要计算所得与所费的货币时间价值,从而做出动态分析评价。

动态分析评价所采用的指标及其计算方法:①净现值(NPV)。农业发展建设一般是分年度发生建设投资和经营费用,又分年度发生项目经营收入。把历年的投资和利润按照预先确定的贴现率,采取复利计息法,折算成投资现值和利润现值,各自总和再加以比较,二者之差即为净现值。当净现值大于零(即为正值)时,意味着投资项目有利,是可取的;如果净现值小于零(即呈现负值),意味着这个投资项目得不偿失,则不可取。净现值的计算式:

农业投资经济效果评价

式中 St为第t年的利润,Kt为第t年的投资;N为项目经济寿命年限;r为利率(标准利率或银行利率)。②效益与费用比率。即效益现值总和与费用现值总和之比。如果其比率大于1,说明投资项目的效益大于费用,是可取的;如果其比率小于1,则这个项目会带来损失,应予否定。其算式:

农业投资经济效果评价

式中 Bt为第t年的利润;Ct为第t年的费用(投资分摊值加成本)。

③内部报酬率。在农业投资经济效果评价中,当利润现值总和恰好等于投资现值总和时,贴现所使用的利率称为“内部报酬率”。它反映投资项目在经济寿命期间内,按基准年的现值计算全部收回投资可达到的利率。内部报酬率高,说明投资经济效果好。求得内部报酬率还要与既定的基准收益率(即要求投资项目应达到的收益率标准,一般应大于银行利率)比较,大于基准收益率为有利,项目可取;小于基准收益率,项目应被否定。内部报酬率的计算方法有二:一为试算法,一为插入法。一般是在试算的基础上,借用几何原理,按下式求得:

农业投资经济效果评价

式中 r1为较低的贴现率;r2为较高的贴现率;NPV1为较低贴现率的净现值(正数);NPV2为较高贴现率的净现值(负数,计算时NPV2取绝对值)。

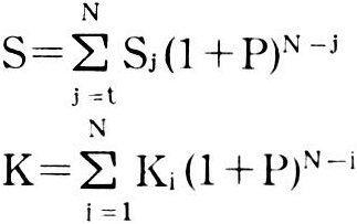
④累计折算投资效果值。它是把资金进行复利计算累计到一个特定时刻的投资效果值。算式如下:

累计折算投资效果值=S/K

农业投资经济效果评价

式中 S为累计折算有用效果(如利润)未来值;K为累计折算投资未来值;P为年利率;t为开始获利年度;N为投资有效年限。

当S/K>1,即S>K时,表示此项目可行。