登录| 注册    
收藏  点赞 

农业科学研究经济效果评价

从取得的有用效果和投入的劳动耗费相互间的数量关系,对农业科学技术研究所作的比较、分析和选优。不论是物质技术或方法技术,只要它们具有实际的使用价值,应用后所引起的效果和劳动耗费的变化具有量的规定性便是评价对象。通过分析技术效果与经济效果、生态效果与经济效果以及经济效果与生产条件的矛盾,从中选出技术先进、生产上可行、有利于改善生态环境和具有最佳经济效益的科研成果加以推广应用。

从取得的有用效果和投入的劳动耗费相互间的数量关系,对农业科学技术研究所作的比较、分析和选优。不论是物质技术或方法技术,只要它们具有实际的使用价值,应用后所引起的效果和劳动耗费的变化具有量的规定性便是评价对象。通过分析技术效果与经济效果、生态效果与经济效果以及经济效果与生产条件的矛盾,从中选出技术先进、生产上可行、有利于改善生态环境和具有最佳经济效益的科研成果加以推广应用。

产生和发展

国外对农业科学研究经济效果的研究始于20世纪50年代。经济学家们把这门学问叫做“农业研究经济学”。美国最早研究这个问题的是芝加哥大学教授舒尔茨博士(T.W.Schultz)。他采用生产者消费者剩余法计算了农业科学研究的经济效益。随后其他美国学者在研究中进一步运用了生产函数法、宏观经济评价法、预测性经济评价法、数学规划最优化法以及营养效果法等。苏联政府重视对农业科学研究的经济评价工作。由苏联农业经济科研机构提出的《农用科学研究成果的经济效益测算方法》,于1969年1月由农业部批准在全国颁布执行;1976年和1978年曾两次修订。该测算方法为直接效益比较法,简明适用。苏联学者也采用生产函数法等其他方法。中国从70年代末开始对以下三方面开展了研究工作,并取得了研究成果:①农业科学研究计划项目或成果经济评价的理论与方法;②以科学研究机构为对象,进行农业科学研究投资的经济效果评价;③全国农业科学技术进步的经济效果评价。在研究方法上采用了直接效益对比法、综合评分法、生产函数分析法以及专家评估法等。

作用和意义

农业科学研究讲求经济效果,目的在于投入同量农业科学研究资源,取得更多的成果,为农业经济的发展作出更大的贡献。农业科学研究经济评价,可以使农业领导部门有科学根据地作好投资决策,使科学研究单位轻重缓急地安排科学研究项目,使推广部门明确哪些成果应该推广以及推广的先后和重点,使生产单位对采取新成果能取得的好处做到心中有数,还可以为颁发科学奖励提供根据。

对象与范围

评价对象,按学科分类,有技术科学、社会科学等不同学科成果的经济评价;按层次分为单项成果的经济评价、科学研究机构的经济评价和某一地区或全国农业科学研究的经济评价;按时间可分为预测性评价和总结性评价;按科技活动的阶段性可分为研究活动、推广活动和生产活动的经济评价。评价范围一般只限于农业科学研究及推广应用结果的直接经济效果,不包括在其他领域实现的间接经济效果。这样规定既体现以科学研究劳动为评价的主体领域,又可避免经济效益的重复计算。

主要特点

①复杂性。农业科学研究成果在研制过程中形成,而其经济效果却要经过推广和生产实践才能实现。因此,经济效果的计算比较复杂。既要计算研制、推广和生产总过程的经济效果,还要分别计算各阶段活动的经济效果,以反映各自对增进经济效果的作用。②高效性。农业科技资源同其他资源比较,具有代价低、效益高的特点。据测算,在1978~1980年间,中国付出1元农业科学研究投资平均每年可产生新增产值5.13元。农业科研经济效果的分摊与农业科学研究、推广和使用单位投入的资源数量没有必然联系。分摊比例是以各自对新增经济效果所起作用的大小为依据。③预测性。农业科学研究的经济评价主要是事前经济评价,为研究项目的选定、计划方案的选优和成果推广的决策提供依据。④及时性。课题的选择和成果的推广均要求及时作出经济评价,延误时间会导致无形磨损,甚至变成废品。⑤估测性。科研成果的利用年限和推广规模较难准确规定。它使评价数值带有一定程度的估测性,但并不因此而降低经济评价的意义和作用。

标准与指标

农业科学研究的经济评价是以农业科学研究、推广和应用过程中的劳动耗费与取得的有用效果之间的最优关系数值为标准。这个最优关系数值就是经济效果(效果/劳动耗费)的最大数值或经济效果的倒数(劳动耗费/效果)最小数值。农业科学研究的综合评价,除经济标准外,还有学术标准、生态标准、社会标准、政治标准等。农业科学研究经济评价的指标,根据多层次评价的需要,可分为三组主要评价指标:①宏观经济评价指标组。包括以下指标及计算公式:

农业科学研究经济效果评价

式中 k(0<k<1)表示计算期内农业科研投资年平均增长率。

农业科研 计算期农业科 农业科研

投资的总=研投资年平均×成果平均×100%

产值率 新增产值率 使用年限

②农业科研单位经济评价指标组。包括以下指标及计算公式:

农业科学研究经济效果评价

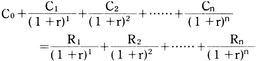
科研内部报酬率。计算公式:

农业科学研究经济效果评价

式中 C1、C2、……Cn分别是第一年,第二年,……第n年当年的费用额;C0是第一年开始时(即第0年)的费用额;R1、R2、……Rn分别是第一年至第n年的当年产值额;r是未知的年利率,即所求的内部报酬率。

农业科学研究经济效果评价

③农业科研成果经济评价指标组。包括以下指标和计算公式:

农业科学研究经济效果评价

新增纯收益分别乘以科研单位、推广单位和生产单位在新增纯收益总额中应占份额系数,便得它们各自应摊的新增纯收益。

农业科学研究经济效果评价