登录| 注册    
收藏  点赞 

测验

利用X2分布对计数资料或方差所作的假设测验。X2分布是从具有μ1和的正态总体中随机抽出容量为n的样本

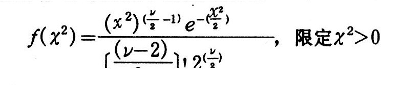
利用X2分布对计数资料或方差所作的假设测验。X2分布是从具有μ1的正态总体中随机抽出容量为n的样本,求变量X2所形成的抽样分布。其中X1代表第i个观测值。X2分布的概率密度函数为:

X2测验

式中 ν为自由度。X2分布的平均数和标准差为:

X2测验

X2分布的图形如下:

三种不同自由度的X2分布曲线

X2分布的特点:①每一自由度都有一条分布曲线;②由于X2=Σ,所以没有负值;③X2分布曲线的高峰随自由度增加而逐渐右移,两侧趋向对称;当自由度接近∞时,则为正态分布

各种自由度X2分布的右尾概率为α时,其临界X2值已列成X2值表。测验时将实验数据转算成X2值后与表列值相比较。当X2时,便在α显著水平上否定H0而接受HA

在对不同属性的计数资料进行X2测验时,常用近似公式:

X2测验

式中f、fC分别为某一属性的观测次数和理论次数用上式算出的X2值只是近似于连续性的分布。所以将算出的X2值与表列值作比较时,在概率水平上常有偏差。特别是自由度为1时,必须作连续性校正。校正的X2值(即)可按下式计算:

X2测验

X2测验的用途主要有三方面:

适合性测验

指测验实验结果与某种理论预期是否相符。遗传学上常用以分析杂种后代性状分离是否符合理论比例。以一对显、隐性状的分离为例,设顶芒和长芒小麦品种杂交,按孟德尔分离比例,F2代顶芒∶长芒应为3∶1。现观测F2代155株,其中顶芒113株,长芒42株。可用X2测验试验结果与3∶1理论比例是否符合。测验的假设为H0:符合3∶1,HA:不符合。按3∶1理论比例,155株中顶芒(显性)应有155×3/4=116.25株,长芒(隐性)应有155×1/4=38.75株。代入公式:

X2测验

此处共分两组,自由度ν=1,查X2值表,=3.84。,接受H0,顶芒与长芒的分离符合3∶1比例。

对于具有多对显、隐性状分离的适合性测验,也可仿上法进行X2测验,其自由度为组数减1。此外,观测数据的分布是否符合某种理论分布,也可应用X2作适合性测验。

独立性测验

测验两向分组的计数资料是否彼此独立而无交互作用。独立性测验也可用于n向分组的计数资料,但较为复杂。两向分组计数资料可分为2×2、2×C或R×C等类列联表。独立性测验与适合性测验的区别在于:①理论比例为未知,必须从观测次数中按无效假设加以推算;②不适用于单向分组的计算资料,而适合性测验则无此限制。以两种农药防治棉铃虫药效的2×2列联表为例:

附表

假设H0:花蕾受害与否和农药种类无关(即两者相互独立),HA:两者有关。由此,按下式计算理论次数:

X2测验

式中 Tr、Tc分别为列联表各观测次数所在行和列的总计次数,n为总观察次数。例如观察次数“31”的理论次数为fc=(460)(56)/796=32.36。

列联表的自由度ν=(r-1)(c-1),此处为(2-1)(2-1)=1。自由度为1时须作连续性矫正。

X2测验

ν=1时,=3.84,X2,接受H0。花蕾受害与否和农药种类无关,亦即两种农药药效相同。

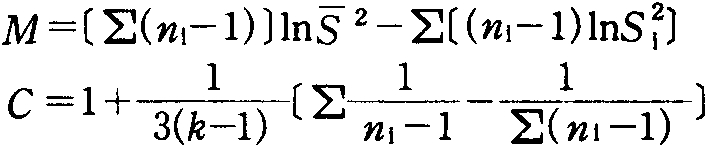
方差同质性测验

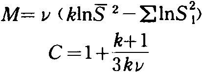
测验多个方差是否同质。M.S.巴雷特(Bartlett)1937年提出自由度皆为ν=n-1的k个方差()的M/C值大致遵从自由度为k-1的X2分布。其中:

X2测验

式中为方差的平均数。在样本容量不等时,则:

X2测验

式中的加权平均数或合并方差。方差同质性测验的假设为不相等。如果M/C≥,k-1,便在α显著水平上否定H0,而推断各方差不同质。例如,四个样本的方差如下:

附表

X2测验

自由度ν=4-1=3时,=7.81,实得X2,故接受H0。这四个方差是同质的。