登录| 注册    
收藏  点赞 

测验

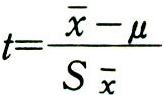
利用t分布对单个或两个小样本统计数所作的假设测验。t分布是统计数t的抽样分布。t为从正态分布总体中随机抽取容量相等的所有可能的小样本,分别求各样本平均数与总体平均数μ的差数对各样本平均数标准误的比值。即: t测验 由于小样本的常为的偏低估计,且是一个变数

利用t分布对单个或两个小样本统计数所作的假设测验。t分布是统计数t的抽样分布。t为从正态分布总体中随机抽取容量相等的所有可能的小样本,分别求各样本平均数与总体平均数μ的差数对各样本平均数标准误的比值。即:

t测验

由于小样本的常为的偏低估计,且是一个变数,故t分布与正态分布不同而具有较大的离散度。

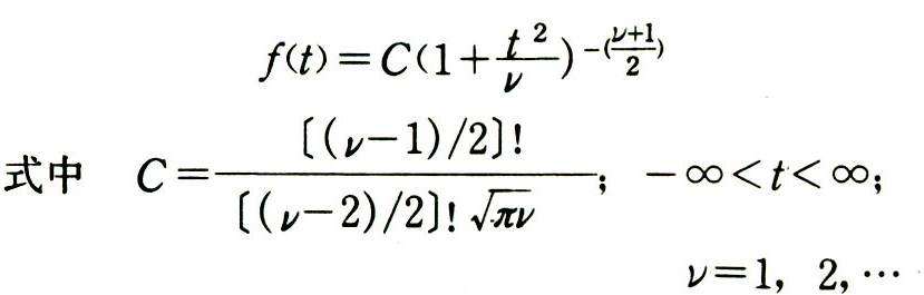
t分布是1908年由署名为“Student”的英国统计学家M.S.戈塞特(Gosset)发现,并由英国的R.A.费希尔(Fisher)于1926年加以完善而成的,称之为“学生氏”t分布。其概率密度函数为:

t测验

ν为自由度。

t分布的平均数和标准差为:

t测验

以ν=4为例,t分布的图形如下:

自由度为4的t分布

t分布的特点:①每一自由度都有一条t分布曲线;②以t=0为中心,两边对称;③曲线中间部分比u分布较陡峭,两尾略高而平,ν越小,这种趋势越明显。ν越大,t分布越趋近于正态分布

t测验的方法,原则上与u测验相同,只是前者必须按自由度及各种常用的概率水平从t值表中查找对应的t值。测验时将小样本的平均数平均数的差数用换算成t值,即

t测验

然后与一定概率水平(α)的t值(记作tα)比较,如果t≥tα(来自同一总体,μ1=μ2),就可以在α水平上否定H0而接受HA。在0.05或0.01概率水平上否定H0的t值,分别称为显著或极显著,并分别在其右上角标注上一个或两个星号。