登录| 注册    
收藏  点赞 

测验

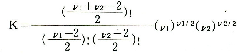
利用F分布对两个样本方差所作的统计假设测验。F值为从正态总体中随机而独立地抽取自由度分别为ν1和ν2的样本方差的比值,即。F值的抽样分布称为F分布。F分布最初由R.A.费希尔(Fisher)于1923年以Z=ln的形式提出,后经G.W.史奈德格(Snedecor)加以简化并命名为F。F分布的概率密度函数如下: ,限定:F≥0式中 ν1、ν2分别为方差比中分子和分母的自由度

利用F分布对两个样本方差所作的统计假设测验。F值为从正态总体中随机而独立地抽取自由度分别为ν1和ν2的样本方差的比值,即。F值的抽样分布称为F分布。F分布最初由R.A.费希尔(Fisher)于1923年以Z=ln的形式提出,后经G.W.史奈德格(Snedecor)加以简化并命名为F。F分布的概率密度函数如下:

,限定:F≥0

式中 ν1、ν2分别为方差比中分子和分母的自由度;

F测验

F分布的两个重要参数平均数和标准差如下:

F测验

F分布一般不对称,其图形如下:

三个自由度组合的F分布

F测验一般是单尾测验,F值表的概率水平也是按单尾计算的。如F≥F0.05或F≥F0.01,就可以在0.05或0.01概率水平上否定H0而接受HA

两个方差同质性测验

为测验两个独立样本的方差是否同质,可作的双尾测验。求方差比F值时,以较大的方差为分子,较小的为分母。将表列F值的概率乘以2后作为测验的显著水平。例如两个玉米自交系独立样本雄穗分枝数的方差分别为25.2和14.5,n1和n2分别为25及27。F=25.2/14.5=1.74。查F值表,ν1=24,ν2=26时,单尾F0.025(1)=2.22,亦即双尾F0.05(2)=2.22。由于F<F0.05,所以推断这两个样本的总体方差是同质的。

多个样本平均数的假设测验

多个样本平均数间差异的显著性可用F测验。其无效假设是各样本所属总体的平均数相等,即H0∶μ1=μ2=μ3=…=μk。在H0下,各样本间的方差应与样本内方差同质,因此F值应与1相近,如果远大于1以至超过Fα,就否定H0而接受HA∶μ1,μ2,…,μk中最少有两个不相等。样本间和样本内方差的算式如下:

F测验

式中 k、n分别代表样本数和样本容量,分别代表第i个样本第j个观测值、第i个样本平均数和总平均数。由此可计算:

F=样本间方差/样本内方差(或机误方差)

其自由度ν1=k-1,ν2=k(n-1)

F与t这两个统计数在数学上是有关系的,即在自由度ν1=1,ν2=n时,F=t2,所以F表ν=1的直行上的F值就是5%和1%显著水平的t值的平方。