登录| 注册    
收藏  点赞 

相关指数

表示两个变数间非线性关系密切程度的统计数。在二者呈现多项式关系时,该值就是k次多项式的回归平方和占总变异平方和的比率的根值。以RK表示。其计算公式为: 相关指数 式中 UK和QK分别为k次多项式的回归和离回归平方和,Σ(y-)2为y的总变异平方和。相关指数的性质:①RK的取值区间是[0,1],只说明相关程度,不表示相关方向。RK值愈接近1,表示多项式相关愈密切。

表示两个变数间非线性关系密切程度的统计数。在二者呈现多项式关系时,该值就是k次多项式的回归平方和占总变异平方和的比率的根值。以RK表示。其计算公式为:

相关指数

式中 UK和QK分别为k次多项式的回归和离回归平方和,Σ(y-2为y的总变异平方和。

相关指数的性质:①RK的取值区间是[0,1],只说明相关程度,不表示相关方向。RK值愈接近1,表示多项式相关愈密切。②上式的RK是y依x的多项式相关指数;若为x依y,则由同一资料所得RK值不相同。③在x、y两变数间呈非线性相关时,RK值大于用同一资料计算的线性相关系数|r|;但当x、y呈线性相关时,RK=|r|(这时k=1)。

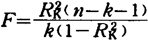
相关指数的显著性可用F测验:

相关指数

该F值的自由度ν1=k,ν2=(n-k-1)。但也可按自由度ν=n-k-1直接查相关系数临界值表,确定其是否显著。RK的显著性一定和K次多项式总回归的显著性一致。和线性相关相同,是K次多项式决定系数,它是多项式回归平方和占总变异平方和的比率。