登录| 注册    
收藏  点赞 

线性可加模型

观察值为几个原因分量的总和时的数学表达式,简称线性模型。试验数据常见的线性模型如下: 附表 上列诸式中 ε为误差分量,通常假定是一随机的独立成分,以平均数为0,方差为σ2而呈正态分布,记作ε~N(0,σ2);αi和βj分别为试验因素A和B的效应;(αβ)ij为A、B两因素的互作效应;βij为A因素内B因素的效应。

观察值为几个原因分量的总和时的数学表达式,简称线性模型。试验数据常见的线性模型如下:

附表

上列诸式中 ε为误差分量,通常假定是一随机的独立成分,以平均数为0,方差为σ2而呈正态分布,记作ε~N(0,σ2);αi和βj分别为试验因素A和B的效应;(αβ)ij为A、B两因素的互作效应;βij为A因素内B因素的效应。若A因素的各水平组成一个有限总体,则其效应称为固定模型或模型Ⅰ,其限制条件为Σαi=0。若A因素的各水平为A总体中的一个随机样本,则其效应称为随机模型,或模型Ⅱ,其限制条件为αi~N(0,)。在多因素试验中,除误差外,如若各因素的效应均为模型Ⅰ,则整个线性模型便为固定模型;若各因素的效应均为模型Ⅱ,则整个线性模型为随机模型;若其中一些因素为模型Ⅰ,一些为模型Ⅱ,则整个线性模型便为混合模型。

以随机区组试验(二因素交叉式单独观察值)为例,若A为试验因素,B为区组因素,则其线性模型为上表第三式。

若限制条件为Σαi=0,Σβj=0,εij~N(0,σ2),这时处理为“固定”,区组为固定,误差为随机,整个线性模型为固定模型。

若限制条件为αi~N(0,)βj~N(0,),εij~N(0,σ2),则处理为随机,区组为随机,误差为随机,整个线性模型为随机模型。

若限制条件为Σαi=0,βj~N(0,),εij~N(0,σ2)或αi~N(0,),Σβj=0,εij~N(0,σ2),则整个线性模型为混合模型。

又若用随机区组设计进行两因素试验,则连区组因素在内,其线性模型实际上包括三个因素:

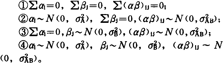
xijk=μ+αi+βj+(αβ)ij+γk+εijk,γk为区组效应。其区组及误差的限制条件分别为Σγk=0或γk~N(0,)及εijk~N(0,σ2);试验因素的限制条件有以下几种情况:

线性数学模型

因而若只考虑试验因素的模型,则①为固定模型,②与③为混合模型,④为随机模型。

一个试验的线性模型决定了试验数据的方差分析方法,也决定了各变因均方所估计的期望均方组成(见期望均方)。要正确地分析试验数据,必须采用符合数据实际情况的线性模型。若实际试验资料与所定线性模型不符,则方差分析时将不能得出确切的结论,尤其在误差项性质上若与模型不符,将不能做出正确的显著性测验。这时需对数据采取补救措施或转换尺度后再行分析(见方差分析)。