登录| 注册    
收藏  点赞 

生长分析法

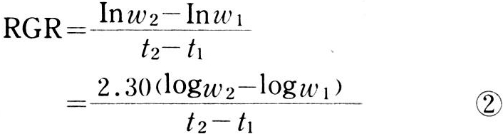
下列四种相互联系的植物生长分析方法。相对生长率RGR或R单位时间内、单位干物质增长的速率。今设某作物t0时的干重为w0,经过dt时间以后,增重为dw (见图),则RGR可用下式表达: 瞬时和平均相对生长速率 生长分析法 由上图看出相对生长率是lnw对时间关系的斜率。在实践中常是以两个时间间隔内的增重,求算平均相对生长率()的,因此从上式积分得到下式,用以计算一定时间内的相对增长率。

分期测定植物干物质重量和叶面积大小,用以分析植物生长与产量形成的多种生长函数指标的方法。植物生命过程是在不断改变其大小、形状、重量中实现的。人类在研究作物个体生长发育与产量形成过程时,一般通过对植物个体大小的量度、形态演变的描述,获得对植物性质的了解或量性的推测。

1919年V.H.勃兰克曼(Blackman)第一次提出以干物重的变化来分析植物生长的过程,他把植物干物质的增长过程比为存款复利的增加过程,即单位时间内增加的干物质类似存款利息的增加,利率愈大(干物质生产效率)则利息愈大,本钱(最初干物质重)愈大利息也愈大。并提出植物干重增长的复利法则,用以下方程表示:

w=w0·ert

式中 w为t时间后的干重;w0为初始期植物体干重;e为自然对数;r为干重的相对增长率;t为生长时间。此式表示把最初干重当做资本,把r当做利率的植物干物重随时间增长的模式。在勃兰克曼生长复利分析法的基础上,可以演变为下列四种相互联系的植物生长分析方法。

RGR或R

单位时间内、单位干物质增长的速率。今设某作物t0时的干重为w0,经过dt时间以后,增重为dw (见图),则RGR可用下式表达:

瞬时和平均相对生长速率

生长分析法

由上图看出相对生长率是lnw对时间关系的斜率。在实践中常是以两个时间间隔内的增重,求算平均相对生长率()的,因此从上式积分得到下式,用以计算一定时间内的相对增长率。

生长分析法

①式为自然对数式,②式为常用对数式,w1、w2为t1t2时间的干物重

LAR或F

叶面积与总干物重之比。叶面积与植株干重的累积有直接的关系,可用下式计算:

生长分析法

式中 L1、L2,W1、W2分别为t1、t2时间的叶面积与干物重,在正常情况下LAR的增长和RGR的增长是一致的,这表明群体发育正常,光能分布好、光合效率高。但在群体过大的情况下,LAR并不伴随RGR的增长而增大。叶面积比率还与植物茎叶繁茂程度、叶片的寿命、根系的发育等有密切的关系。

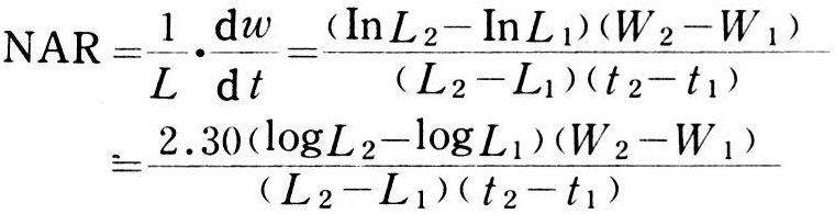
NAR或E

单位时间内单位叶面积干物重增长的速率。在一定条件下,干物质和叶面积呈显著正相关关系,由于在干物质增长过程中,并不是所有干物质都用于植物生长。随着植物的生长,纯结构物质的比率增加,这样叶面积就成为干物质形成累积的主要器官。具体计算公式如下:

生长分析法

式中 W1、W2,L1、L2分别为t1、t2干物重和叶面积。

CGR或C

在一定时间内单位土地面积上作物群体总干物重的增长率。在田间情况下,产量并不是必然随NAR的提高而增加,因为高光合作物常被低的LAR所抵消。在作物群体生长情况下,通常总叶面积比个别叶子的光合作用更为重要,因此群体叶面覆盖度和NAR决定着群体干物质的产量。以下式表示:

生长分析法

式中 L/S为单位土地面积上的全叶面积,即叶面积指数以LAI表示。

由此可求RGR、LAR、NAR的相互关系,由于RGR=·NAR,所以RGR=LAR·NAR,NAR=RGR/LAR。

多年来,国内外学者在上述方面已做了大量的工作。1964年P.G.贾维斯(Jarvis)和M.S.贾维斯(Jarvis)用生长分析方法测量玉米(C4作物)的RGR为2310毫米/(克·周),NAR为152克/(米2·周)。大麦(C3作物)的RGR为920毫米/(克·周),NAR为68克/(米2·周)。说明C4作物RGR和NAR和高于C3作物。一般认为作物的RGR或NAR受气候环境及作物遗传因子的影响。不同作物的种间有明显的差异,但种内变异范围较小。因此从不同的栽培作物中,选择或发现RGR与NAR都较高的作物是可能的。