登录| 注册    
收藏  点赞 

缺值估计

估计在试验过程中由于某些偶然原因而缺失的观察值。如田间试验小区遭受牲畜和鸟兽为害,实验动物的非正常死亡等,都会造成试验数据缺失。在随机区组、拉丁方、裂区等设计中,如发生缺值,则试验的均衡性或正交性受到破坏,方差分析不能按原定方法进行,这时可根据统计学原理从理论上对缺值进行估计。缺值估计不能得到原来应得的数据,也不能增加任何新的信息,只能使试验结果的分析得以顺利进行。

估计在试验过程中由于某些偶然原因而缺失的观察值。如田间试验小区遭受牲畜和鸟兽为害,实验动物的非正常死亡等,都会造成试验数据缺失。在随机区组、拉丁方、裂区等设计中,如发生缺值,则试验的均衡性或正交性受到破坏,方差分析不能按原定方法进行,这时可根据统计学原理从理论上对缺值进行估计。

缺值估计不能得到原来应得的数据,也不能增加任何新的信息,只能使试验结果的分析得以顺利进行。一个试验中,只有个别缺值,缺值估计尚属可行。如缺值过多,则得不到可靠结果。所以试验应确保数据完整无缺,尽量避免缺值发生。

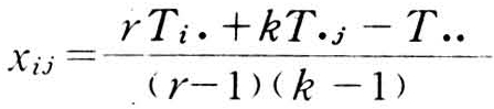
缺值估计是根据最小平方法的原理,使之满足误差平方和为最小。例如随机区组试验缺失一个小区数据的估计公式为:

缺值估计

式中 xij=第i个区组、第j个处理数据的缺值计估值,r=区组数,k=处理数,Ti.=缺值所属区组总和(不包括缺值),T.j=缺值所属处理总和(不包括缺值),T..=全试验总和(不包括缺值)。

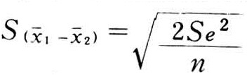
估得缺值后,方差分析可正常进行,但总自由度和误差自由度都应各减去一个,因为缺值的估计值不占有自由度。处理平方和也应矫正,矫正后的处理平方和比之未矫正的略小,但一般对F值影响不大。因此可以只矫正自由度,而不矫正平方和。处理平均数间的比较,一般用LSD法(其-):

①没有缺值的处理平均数间比较

缺值估计

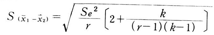
②有缺值的处理平均数与没有缺值的处理平均数间比较

缺值估计

式中 Se2方差分析中的误差均方。(r=区组数,k=处理数)