登录| 注册    
收藏  点赞 

区间估计

以一定的置信概率估计总体参数所在区间的一种统计推断方法。在一定的概率保证下,总体参数可能包含在内的数值范围称为置信区间。置信区间是以样本统计数为中值,两个极端数值分别称为置信下限和上限。区间估计的保证概率称为置信概率、置信系数或置信度。以从小样本х估计总体μ为例,根据t分布 区间估计 经变换得: 区间估计 式中 p为置信概率;t0.05为自由度v、双尾概率0.05时的t值。

以一定的置信概率估计总体参数所在区间的一种统计推断方法。在一定的概率保证下,总体参数可能包含在内的数值范围称为置信区间。置信区间是以样本统计数为中值,两个极端数值分别称为置信下限和上限。区间估计的保证概率称为置信概率、置信系数或置信度。以从小样本х估计总体μ为例,根据t分布

区间估计

经变换得:

区间估计

式中 p为置信概率;t0.05为自由度v、双尾概率0.05时的t值。后式说明μ处于置信区间的置信概率为0.95。即分别为置信下限及上限。即用区间来估计μ,可靠程度可达95%。如果要把置信度提高到99%,则置信限应换成

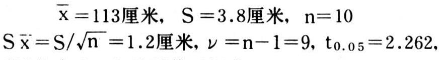
点估计是直接用统计数(女估计参数(如μ),而区间估计则考虑到误差的干扰,以一定置信概率估计参数的可能范围。例如,对丰产3号小麦10株样本的株高作区间估计和点估计:

区间估计

则置信度为95%的置信区间为:

区间估计

或 110.3厘米≤μ≤115.7厘米

即丰产3号小麦株高总体平均数在110.3~115.7厘米之间,其置信度为95%。显然,此处小麦株高总体平均数的点估计值为113厘米。

区间估计的应用范围很广,平均数、两个平均数的差数、成数、方差、回归系数、相关系数等都有相应的区间估计公式。