登录| 注册    
收藏  点赞 

平均数假设测验

由试验或调查的结果来推断关于单个、两个或多个总体平均数的统计假设可否接受的一种数学方法。大样本单个及两个平均数的假设测验用u测验,小样本用t测验,多个平均数则用F测验。以t测验为例说明平均数的假设测验。单个平均数的假设测验测验一个样本平均数所属的总体平均数μ。是否与指定的总体平均数μ有真实的差异。对于双尾测验,Ho∶μ。=μ,HA∶μ。

由试验或调查的结果来推断关于单个、两个或多个总体平均数的统计假设可否接受的一种数学方法。大样本单个及两个平均数假设测验用u测验,小样本用t测验,多个平均数则用F测验。

以t测验为例说明平均数假设测验

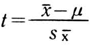
单个平均数的假设测验

测验一个样本平均数所属的总体平均数μ。是否与指定的总体平均数μ有真实的差异。对于双尾测验,Ho∶μ。=μ,HA∶μ。≠μ;对于单尾测验,Ho∶μo≥μ,HA∶μo<μ,或Ho∶μo≤μ,HA∶μo>μ。

平均数假设测验

式中,s为样本标准差,n为样本容量。如果|t|≥t0.05或|t|≥t0.001,就可以分别在5%或1%显著水平上否定Ho而接受HA

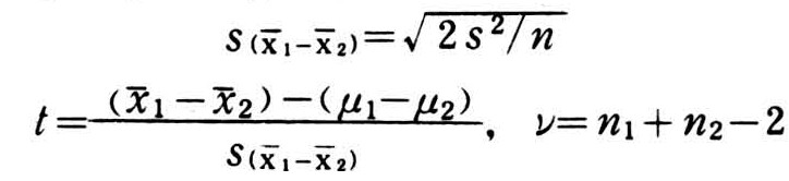
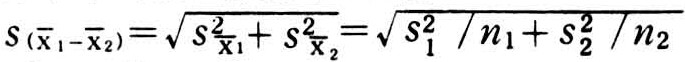
两个独立随机样本平均数差数的假设测验

测验两个独立样本所属的总体平均数是否相同。两个样本的容量可相等或不等,可作双尾或单尾测验。双尾测验时,Ho∶μ1=μ2,HA∶μ1≠μ2;单尾测验时,Ho∶μ1≥μ2,HA∶μ1<μ2,或Ho∶μ1≤μ2,HA∶μ1>μ2。两个独立样本平均数差数标准误为:

平均数假设测验

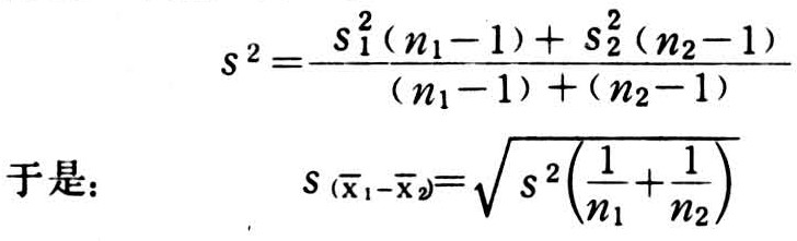
式中分别为两个样本各自的方差和各自的标准误平方;n1,n2为各自的容量。在小样本条件下,可用的加权算术平均数,即合并方差s2代替

平均数假设测验

当n1=n2=n时,

平均数假设测验

如果|t|≥t0.05或|t|≥t0.01,就可分别在5%或1%显著水平上否定Ho而接受HA

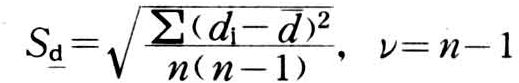
两个配对样本平均差数的假设测验

测验配对的两个样本是否出自同一总体。配对是指两个样本各对应单位因有着某种联系而形成的对子,如相邻的两个植株、相邻的两个小区等。配对设计排除了某些环境条件的干扰而提高样本单位间的可比性。双尾测验的无效假设是各对样本单位的差数d1的总体平均数μd为零。即Ho∶μd=0;HA∶μd≠0。单尾测验时Ho∶μd≥C,HA∶μd<C;或Ho∶μd≤C,HA∶μd>C,其中C为一指定常数(包括0)。两个配对样本差数平均数标准误Sd为:

平均数假设测验

式中为d1平均数,n为样本容量。

平均数假设测验

如果|t|≥t0.05或|t|≥t0.01,就可分别在5%或1%显著水平上否定Ho而接受HA