登录| 注册    
收藏  点赞 

平均数

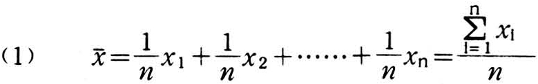
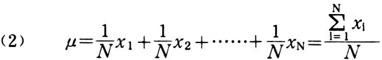
描述变数分布集中性的特征数。它是同质资料的典型或一般数量水平的代表数。主要包括算术平均数、几何平均数、调和平均数、中位数和众数。算术平均数简称平均数或均数,其应用最为广泛。样本平均数㊣是样本中各观察值x1(i=1,2,……,n)与其频率的乘积之和,见(1)式: 平均数 总体平均数μ是有限总体中各观察值x1(i=1,2,……,N)与其概率的乘积之和

描述变数分布集中性的特征数。它是同质资料的典型或一般数量水平的代表数。主要包括算术平均数、几何平均数、调和平均数、中位数和众数。

算术平均数

简称平均数或均数,其应用最为广泛。样本平均数㊣是样本中各观察值x1(i=1,2,……,n)与其频率的乘积之和,见(1)式:

平均数

总体平均数μ是有限总体中各观察值x1(i=1,2,……,N)与其概率的乘积之和,见(2)式:

平均数

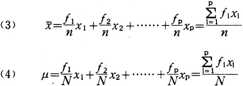
若各χ1值的出现次数f1不同,则平均数是各x1值与其频率或其概率的乘积之和,见(3)式和(4)式:

平均数

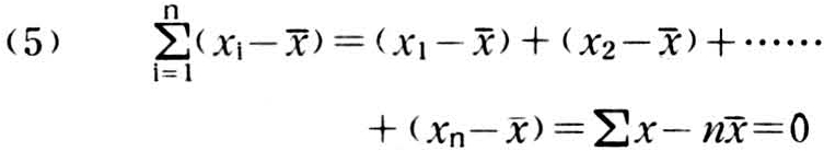
f1在数学中被称为权系数或权数,故这样算出的平均数称为加权平均数有两个重要特性,即:各观察值x1之差(离均差)的代数和等于零,见(5)式:

平均数

各个离均差平方的总和(简称平方和)为最小,见(6)式:

平均数

是μ的无偏估计量。

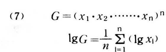
几何平均数(G)n个观察值的乘积开n次方,见(7)式:

平均数

常用于计算平均增长率。

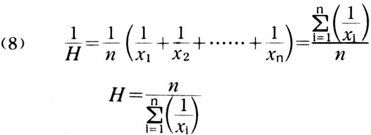
调和平均数(H)各观察值的倒数平均数的反倒数见(8)式:

平均数

若各x1的次数f1不同,则由(9)式计算H:

平均数

调和平均数主要用于表示平均速率。

对同一套资料存在着>G>H的关系。

中位数(Md)将全部数据按大小依次排列,位于正中间的那个数值。倘数据个数n为偶数,则中位数是最中间两个数值的算术平均数。分组资料Md的计算见公式(10):

平均数

其中LMd和fMd分别为Md所在组的低限及次数;n为样本容量;A为Md所在组上方各组的总次数;i为组距。Md多用作以50%为实验指标的特征数,因此它是位置特征数,为非参数性的。

众数(Mo)资料中出现频率最大的数值。分组资料Mo的计算式见(11)式:

平均数

其中LM。为次数最多一组(众数组)的低限;f1和f2分别为众数组上面一组和下面一组的次数;i为组距。Mo亦为位置特征数,不受资料中极端值影响。它多用来描述不需作进一步处理的间断性变数的位置特征。

变数为对称分布时,、Md、Mo三者相等,变数为非对称分布时,Md一般位于Mo之间。