登录| 注册    
收藏  点赞 

非线性回归

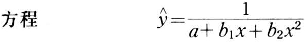
处理依变数y随自变数x的改变而呈非线性改变的资料的统计方法。又称曲线回归。由于y可随x的改变而呈各种不同形式的非线性改变,故回归方程的形式也是多种多样的。但基本模式可大体分类如下:倒数的非线性回归方程这类方程一般可将变量作倒数变换而改为线性,从而可应用线性回归的程序进行分析。主要有: 非线性回归 该方程可改写成: 非线性回归 因而,令x'=

处理依变数y随自变数x的改变而呈非线性改变的资料的统计方法。又称曲线回归。由于y可随x的改变而呈各种不同形式的非线性改变,故回归方程的形式也是多种多样的。但基本模式可大体分类如下:

倒数的非线性回归方程

这类方程一般可将变量作倒数变换而改为线性,从而可应用线性回归的程序进行分析。主要有:

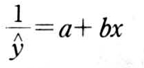
非线性回归

该方程可改写成:

非线性回归

因而,令x'=,则y和x′的关系就成为线性。

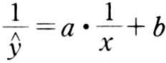
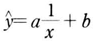
非线性回归

该方程可改写成:

非线性回归

令y'=,y′和x的关系就成为线性。

非线性回归

该方程可改写成:

非线性回归

令y'=,x'=,y′和x′的关系就成为线性。

上述y依x方程的轨迹属于双曲线或变形双曲线系统,在农作物试验研究上应用甚多。选用这类方程时,需特别注意或/和应是在有关专业中有意义的量。

指数的和幂函数的非线性回归方程这类方程一般可对变量作对数转换而改为线性,从而适用线性回归分析程序。主要有:

非线性回归

这是一个指数方程,可改写成:

非线性回归

因而令y′=lny,y′和x的关系就成为线性。本方程在有关生长问题的研究中经常应用,并常写成:

非线性回归

式中b1=eb。当b1>1时生长属增殖型,b1<1时生长属消退型。

非线性回归

这是一个幂函数方程,可改写成:

非线性回归

令y′=lgy,x′=lgx,y′和x′的关系就成为线性。选用这类方程时,需注意x和y的变量中不含有0值。

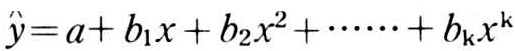
多项式回归方程

k次多项式方程的一般形式为:

非线性回归

当k=1时为线性回归方程;若k≥2,就统称为多项式回归方程。这个方程的最大优点是可对任何y依x的数量资料进行回归逼近,直至有满意的描述为止。但方程中包含的项数愈多(即k愈大),则计算愈麻烦,解释亦愈困难。一个具体资料配合多项式回归方程的适宜项数(即k应取何值)要通过统计假设测验确定,其方法可参见多元线性回归(将这里的x,x2,…,xk看作是多元线性回归中的x1,x2,…,xm即可)。比较常用的有二次多项式=a+b1x+b2x2和三次多项式=a+b1x+b2x2+b3x3

=a+b1x+b2x2 该方程的轨迹为凹向上(b2>0时)或凸向上(b2<0时),没有由凹变凸或由凸变凹的变化;同时,在x=-b1/2b2上可有一极值。该极值在b1>0、b2<0时为极大值,在b1<0、b2>0时为极小值。

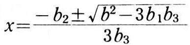
=a+b1x+b2x2+b3x3 该方程在x=-b2/3b3上有一拐点,即曲线在该点上可产生一个由凹变凸或由凸变凹的变化,且在

非线性回归

上各有一个极值。

此后多项式每增加一项,即增加一个拐点。例如五次多项式=a+b1x+b2x2+b3x3+b4x4+b5x5有三个拐点,即曲线在三处发生由凹变凸或由凸变凹的变化。所以,多项式的次数k愈大,曲线的起伏与凹凸变化也愈大。

前述1倒数、指数、幂函数之间变量转换方法亦适用于多项式:

非线性回归

可写成=a+b1x+b2x2。因而令y'=,y'就成为x的二次式函数。

非线性回归

可写成ln=lna+b1x+b2x2+b3x3,令y'=lny,y'就成为x的三次式函数,……等。