登录| 注册    
收藏  点赞 

非参数测验

对变量总体的分布无须作任何假定,也不涉及总体参数的一种假设测验。一般统计假设测验,都必须假定样本所属的总体为某一特定分布,如正态分布、二项分布等。但研究工作者有时对某些研究对象的总体分布不了解,因此必须发展一种勿须作特定分布假定,从而也不考虑其参数的非参数测验法。非参数测验的效率一般低于参数测验,只在不适宜用参数测验时才使用。常用的非参数测验有符号测验与秩和测验。x2测验也常用于非参数测验。

对变量总体的分布无须作任何假定,也不涉及总体参数的一种假设测验。一般统计假设测验,都必须假定样本所属的总体为某一特定分布,如正态分布二项分布等。但研究工作者有时对某些研究对象的总体分布不了解,因此必须发展一种勿须作特定分布假定,从而也不考虑其参数的非参数测验法。非参数测验的效率一般低于参数测验,只在不适宜用参数测验时才使用。常用的非参数测验有符号测验与秩和测验。x2测验也常用于非参数测验。此外还有等级相关系数等一些其他方法。

符号测验

根据配对样本差异的正负号数目所作的假设测验。例如,比较配对样本时,若无效假设H0:两个样本所属总体无本质差异,则n个差数应有一半为正号,一半为负号。试验结果与应得结果是否适合,可用x2测验,也可直接查符号测验表。凡是较少符号个数等于或少于符号测验表所列的α水平值时,就可在α显著水平上否定H0

秩和测验

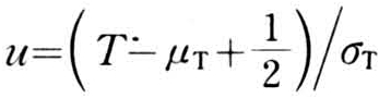
利用秩和(即位次或等级的总和)分布对两个样本所作的假设测验。又称等级和测验,最先由F.威尔科克逊(Wilcoxon)于1945年最先提出。对两个独立随机样本的各观测值先标上其所属样本,然后从小到大混合编排位次或等级,再求两样本各自的秩和。在n1=n2时,以较小秩和T为判据,与威尔科克逊秩和测验临界值表中的Tα值相比,如T≤Tα就可在α显著水平上否定H0而接受HA。在n1n2时,以容量较小(例如n1)的样本先求秩和T1,再计算T2

T2=n1(n1+n2+1)-T1

取T1、T2中数值较小者为T,与表列Tα值相比即可得出结论。如果n1、n2容量较大,秩和测验临界值表不够用,可采用正态近似法测验:

非参数测验

式中 μT=n1(n1+n2+1)/2;σT

对于配对样本,则先把成对观测值的差数按绝对值从小到大编排秩次,再在秩次上添上原差数的正负号,然后计算正号秩和与负号秩和,最后将较小秩和T与符号秩和测验临界值表中Tα值相比,如T≤Tα就可在α显著水平上否定H0而接受HA。当成对样本的n>16时,可用正态近似法测验:

非参数测验

式中 μT=n(n+1)/4,σT