登录| 注册    
收藏  点赞 

方差分析

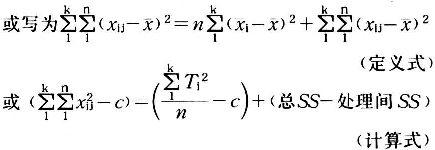
将试验数据的总变异按变异原因分解为各相应部分的平方和与自由度,进而由所得各变因均方值的相对大小衡量其相对重要性的数学方法。基本原理与方法最简单的试验只具一个试验因素。设k=5种处理,n=4次重复,所得kn=20个数据的符号、各处理总和及平均数如下表所示。 附表 方差分析步骤:自由度与平方和的分解该试验中,数据的线性模型为:xij=μ+di+εij(见线性可加模型)。

将试验数据的总变异按变异原因分解为各相应部分的平方和与自由度,进而由所得各变因均方值的相对大小衡量其相对重要性的数学方法。

基本原理与方法

最简单的试验只具一个试验因素。设k=5种处理,n=4次重复,所得kn=20个数据的符号、各处理总和及平均数如下表所示。

附表

方差分析步骤:

自由度与平方和的分解

该试验中,数据的线性模型为:xij=μ+di+εij(见线性可加模型)。每一观察值以离均差表示的变异为:

方差分析

即 总变异=处理间变异+处理内变异。后者为偶然性的随机误差变异。相应于变因分析,可将自由度(df)及平方和(SS)分解如下:

总df=处理间df+误差df

或写为(kn-1)=(k-1)+k(n-1)

总SS=处理间SS+误差SS

方差分析

其中 c=T2/nk因而各变因的相应均方为:

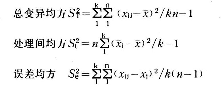
方差分析

变异原因的显著测验

试验因素的显著性是相对于误差而言的,这可借助于F测验作出推断。若F=比1大得多,便说明处理间的变异显著大于随机因素的变异。达到一定显著水平的临界F值依两个均方的自由度而异,可按(dft,dfe)从F表中查得(见F测验)。

多重比较

方差分析目的只在明确处理间有无显著差异,只需上述两步骤。若还需在F测验显著的基础上进一步检验哪些处理间有显著差异,则需进行处理平均数间的多重比较。常用的方法有最小显著差数法(LSD)及邓肯氏新复极差法(见多重比较)。

基本类型

上例为单向分组、组内观察值数目相等的方差分析。组内观察值数目不相等时,分析方法相似,但因各组的ni不等而稍有不同。试验因素可以不止一个,在两个因素(A、B)的试验中,该两因素间的组合方式有交叉式(或正交式A×B)及分枝式(或套叠式B|A)两种。

两因素交叉式

若A因素有k水平、B因素有m水平,则其处理组合为:

附表

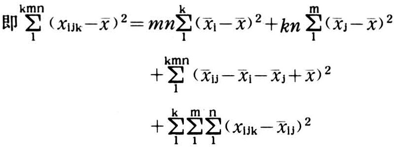
共12个处理组合。若每处理组合重复n次,则其数据的线性模型为xijk=μ+αi+βj+(αβ)ij+εijk。即x的变异由A因素、B因素、AB两因素交互作用等效应及随机误差所组成。相应地,其自由度及平方和的分解为:

总df=dfA +dfB +dfAB +dfe

即(kmn-1)=(k-1)+(m-1)+(k-1)(m-1)+km(n-1)

总SS=SSA+SSB+SSAB +SSe

方差分析

由此可得各变因的均方,然后分别计算前三者对的F值,以测验各该变异原因的显著性随机区组设计方差分析属这种类型。

若两因素交叉式试验无重复,则常用交互作用项作为误差估计以测验A及B的显著性。

两因素分枝式若A因素有k水平,B因素有m水平,其组合方式为:

方差分析

共有km(4×3=12)个处理组合。B因素水平从属于A因素,各处理组合内可能有差异,但无严格的分类差别。若每处理组合重复n次,其数据的线性模型为:xijk=μ+α1+βij+εijk,即x的变异由A因素效应、A因素内的B因素效应及随机误差所组成。相应地,其自由度及平方和的分解为:

总df =dfA+dfB|A+dfe

即(kmn-1)=(k-1)+k(m-1)+km(n-1)

总SS =SSA+SSB|A+SSe

当试验因素在三个或三个以上时,因素间的关系将可能更复杂些,可以三个因素均正交,或三个因素均分枝,或者二个因素相互正交而第三因素分枝等等。其方差分析均可以上述方法为基础导出。

方差分析中,一个因素的效应可能属固定模型或者属随机模型。当试验方案包含二个或二个以上因素时,试验数据的线性模型可依各因素的效应而区分为固定模型、随机模型及混合模型。如上述交叉式例中,A、B均假定为固定,数据的线性模型属固定模型;分枝式例中假定A为固定,B为随机,则其数据的线性模型为混合模型(参见线性可加模型和期望均方)。

基本假定及数据转换,应用上述各种线性模型进行方差分析并测验显著性,是以下述基本假定为前提的:①处理效应与误差成分具有可加性,无交互作用;②各观察值的试验误差相互独立,以平均数为0,共同方差为σ2正态分布,即ε~N(0,σ2)。这二者互有关联,不符合其中之一往往同时不符合其他条件。如果实际资料偏离这些假定太大,便不适宜用F或t测验,或不宜用同一误差均方进行测验。一旦用之做测验,则实际显著水平将偏离原定水平,通常会偏大。对于明显不符合上述基本假定的资料,有一些补救的方法:①剔除某些表现特殊的观察值、处理,或重复。②将全试验误差方差分裂为几个较为同质的误差方差。③将试验数据经过适当转换后再进行分析,平方根转换适用于处理平均数与其相应方差成比例关系,一般用转换。若有0值或小于10时可用转换。对数转换适用于处理平均数与其相应

方差分析

由此可得各级因素的均方。用测验的显著性,用测验的显著性。即用该级单位间均方测验该级单位间的显著性。标准差成比例关系,或处理效应在不同环境下出现倍增现象,若有0值或数字小于10可用log(x+1)转换。反正弦转换适用于百分率数据出现有30%以下或70%以上的情况。倒数转换适用于标准差与平均数的平方有比例关系的数据。此外,当试验数据波动较大时,可以用几个观察值的平均数为单元作方差分析