登录| 注册    
收藏  点赞 

二项分布

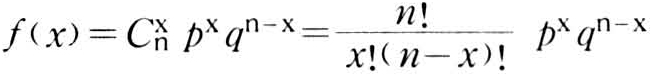
间断性变数的一种最重要的理论分布。也称贝努里(Ber-noulli)分布。在试验或调查中,一类常见的随机变数是:各个个体的某种性状或特性可分为相互对立的两组(如死和活,白和非白,无和有,感和抗等)。这类资料一般都服从二项分布。假定某性状出现的概率为p,不出现的概率为q=1-p。若做n次独立试验,则该性状出现x次(x=0,1,2,…

间断性变数的一种最重要的理论分布。也称贝努里(Ber-noulli)分布。在试验或调查中,一类常见的随机变数是:各个个体的某种性状或特性可分为相互对立的两组(如死和活,白和非白,无和有,感和抗等)。这类资料一般都服从二项分布。假定某性状出现的概率为p,不出现的概率为q=1-p。若做n次独立试验,则该性状出现x次(x=0,1,2,…,n)的概率为:

二项分布

式中 f(x)称为随机变数x的二项概率函数,因为pxqn-x恰好是二项式(p+q)n展开后的概率分布,故称这类分布为二项分布。

二项分布下,次数x的平均数μ和标准差σ为:

二项分布

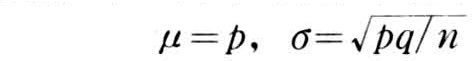
成数(x/n)的平均数μ和标准差σ则为:

二项分布

二项分布的形状,在p=q时,左右对称,若pq,则分布偏斜。

如果n>30,而p值又在0.5左右(不趋近0或1),二项分布将趋于正态分布。这时,二项分布的概率计算,可直接查正态概率函数表得出。

二项分布广泛应用于作物研究中,如总体成数估计,两个样本成数的比较等。在育种工作中,二项分布可用来预测杂种后代具有某种性状的个体的出现概率。