登录| 注册    
收藏  点赞 

等级相关

两个变数以等级或位次表示时的线性相关。其相关系数记为rs表示,用于分析以等级表示的质量或数量资料间的关系。计算公式为: 等级相关 式中 d为各对等级的差数(x-y),可为正值或负值;n为样本容量,即等级对的数目。等级相关系数的性质:①rs的取值区间是[-1,1],有正负之分。②rs的绝对值愈大,表示x、y两变数间等级相关程度愈高。

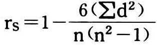
两个变数以等级或位次表示时的线性相关。其相关系数记为rs表示,用于分析以等级表示的质量或数量资料间的关系。计算公式为:

等级相关

式中 d为各对等级的差数(x-y),可为正值或负值;n为样本容量,即等级对的数目。

等级相关系数的性质:①rs的取值区间是[-1,1],有正负之分。②rs的绝对值愈大,表示x、y两变数间等级相关程度愈高。等级相关系数的显著性测验和线性相关系数r相同,可用t测验法或按自由度r=n-2直接查相关系数临界值表。