登录| 注册    
收藏  点赞 

单个自由度比较

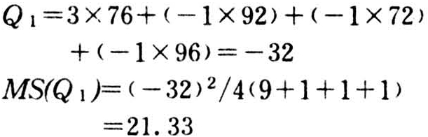
有机磷浓度间的比较。这种比较可用系数C1表示: 附表 上述对比可用线性函数Q=∑c1T1表示,但当∑c1=0时,Q才符合对比的定义。由此可计算:Q的平方和,式中r为重复数。Q的均方 MS(Q)=SS(Q)/1=SS(Q),每个对比各具一个自由度。本例第一个对比, 单个自由度的比较 依次, 单个自由度的比较 若全试验用同一误差均方作测验,则上列三个对比的F=MS(Q)/MSe,分别为F1=21.

试验处理经方差分析后归为两组进行只具一个自由度的比较。亦称对比(contrast)。

例:水稻盆栽药剂试验,四次重复的苗期株高总和(T1)如下:

附表

方差分析结果为:

附表

设A为空白,B为汞制剂,C为有机磷制剂低浓度,D为有机磷制剂高浓度。这里除将B、C、D分别与A比较或A、B、C、D相互比较外,还可有①B、C、D施药的平均效应与空白A比较。②C、D有机磷平均效应与汞制剂B的比较。③C与D两种有机磷浓度间的比较。这种比较可用系数C1表示:

附表

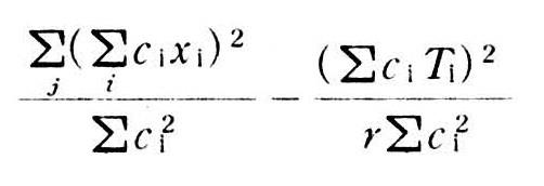
上述对比可用线性函数Q=∑c1T1表示,但当∑c1=0时,Q才符合对比的定义。由此可计算:

Q的平方和,式中r为重复数。

Q的均方 MS(Q)=SS(Q)/1=SS(Q),每个对比各具一个自由度。

本例第一个对比,

单个自由度的比较

依次,

单个自由度的比较

若全试验用同一误差均方作测验,则上列三个对比的F=MS(Q)/MSe,分别为F1=21.33/9.83=。查F表,F0.05(1,12)=4.75,仅C与D间的对比为显著性。

当Q1与Q2二个对比具有∑c11·c21=0,则称Q1与Q2正交。一个试验有k个处理时,可以有多种对比,其中必有k-1个对比为相互正交。相互正交时,全部对比的平方和之和及自由度之和必等于处理间平方和及处理间自由度;反之则不等。本例的三个对比相互正交,其平方和之和=21.33+12.67+72.00=104,自由度之和=1+1+1=3,与方差分析表中处理间SS及df分别相等。

若各对比的误差不一致,则可求出对应于各对比的误差均方以便作相应的测验。其计算方法为分别求出各重复的对比值∑c1x1,其误差平方和为:

单个自由度的比较

具r-1个自由度。全试验共有k-1个正交对比,其总误差平方和将与方差分析表的误差平方和相等,其总误差自由度即为(k-1)(r-1)。