登录| 注册    
收藏  点赞 

成数假设测验

用试验或调查样本的结果来推断关于单个或两个总体成数的统计假设可否接受的一种数学方法。有许多生物现象需用具有或不具有某种属性的百分数或成数来表示,如发芽率、病株率、死虫率等。这种资料的抽样分布常属于非连续性的二项式分布,原则上应依二项式分布进行假设测验。但为了简便,对于np和nq(q=1-p)都大于30的大样本,可用正态近似法测验,对于np和nq都大于5而等于或小于30的样本还需作连续性校正。

用试验或调查样本的结果来推断关于单个或两个总体成数的统计假设可否接受的一种数学方法。有许多生物现象需用具有或不具有某种属性的百分数或成数来表示,如发芽率、病株率、死虫率等。这种资料的抽样分布常属于非连续性的二项式分布,原则上应依二项式分布进行假设测验。但为了简便,对于np和nq(q=1-p)都大于30的大样本,可用正态近似法测验,对于np和nq都大于5而等于或小于30的样本还需作连续性校正。采用x2测验和校正x2测验也可取得相同的结果。如果样本np或nq≤5,则宜通过二项式分布计算确切的概率进行测验。

以两个成数比较的假设测验为例,双尾测验时,H0∶p1=p2,HA∶p1p2;单尾测验时,H0∶p1≥p2,HA∶p1=p2;或H0∶p1≤p2,HA∶p1>p2。其中p1、p2分别为两个样本所属总体的成数。两个成数差数的标准误可按下式计算:

成数假设测验

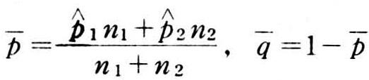
式中 n1、n2分别为两个样本的容量,而分别为两个样本具有和不具有某一属性的成数加权算术平均数,即:

成数假设测验

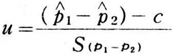
在不需作连续性矫正时,正态近似法测验的u值为:

成数假设测验

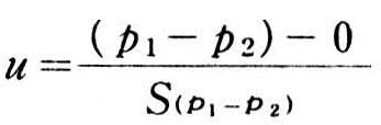
式中 c是无效假说中给出的既定成数,通常往往为0,故可得下式:

成数假设测验

如果|u|≥1.96或|u|≥2.58,就可分别在5%或1%显著水平上否定H0而接受HA

在需作连续性校正时:

成数假设测验