登录| 注册    
收藏  点赞 

变异数

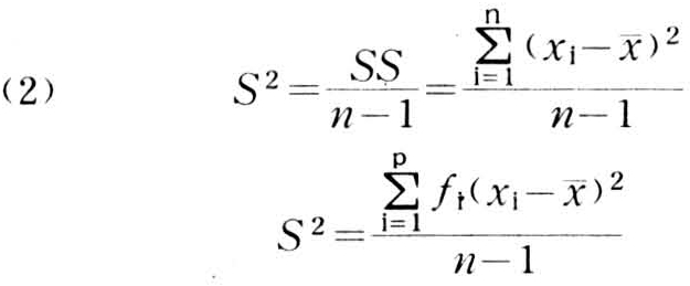
2与其概率的乘积之和,其中N是有限总体容量,见(1)式: 变异数 样本方差也称均方,常以S2,V或MS表示,是样本平方和除以自由度(n-1)之商,其中n是样本容量,见(2)式: 变异数 样本方差需用(n-1)为除数,是由于①一个由n个观察值组成的样本,受到这一条件的限制,只有(n-1)个观察值可以自由度变动;②可以证明,S2只有用(n-1)为除数,才是σ2的无偏估计。

描述变数分布离散性的特征数,反映资料的变异程度。其类别较多,常用的有极差、方差、标准差、变异系数和标准误,其中以方差和标准差应用最多。

极差

变数中的最大值与最小值之差。也称全距。以符号R表示。R仅决定于资料的两个极端值,不能反映整个资料的变异度,且易受不正常极端值的影响,一般仅用于小样本(n≤10)。

方差

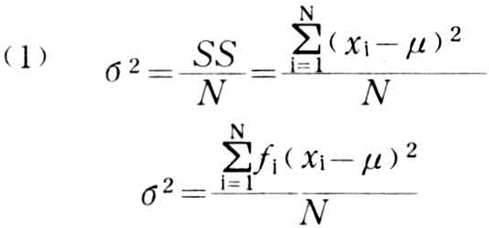
反映数据相对于平均数的波动情况,是度量变异的重要特征数。总体方差σ2是各x1的离均差平方(χ1-μ)2与其概率的乘积之和,其中N是有限总体容量,见(1)式:

变异数

样本方差也称均方,常以S2,V或MS表示,是样本平方和除以自由度(n-1)之商,其中n是样本容量,见(2)式:

变异数

样本方差需用(n-1)为除数,是由于①一个由n个观察值组成的样本,受到这一条件的限制,只有(n-1)个观察值可以自由度变动;②可以证明,S2只有用(n-1)为除数,才是σ2无偏估计

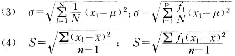
标准差

方差的算术平方根值。方差中的离均差取平方值,其单位亦随之平方,标准差则使度量单位还原。总体标准差σ和样本标准差S都是反映各x1值对均数的平均离散程度,其定义见(3)式和(4)式:

变异数

经数理统计证明,S不是σ的无偏估计

变异系数

标准差S与均数之比,见(5)式:

变异数

变异系数CV是一个纯数,度量着变数的相对变异,可用以比较不同质的资料的相对变异程度。

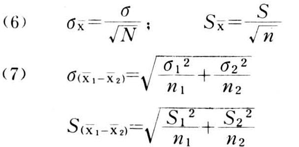
标准误

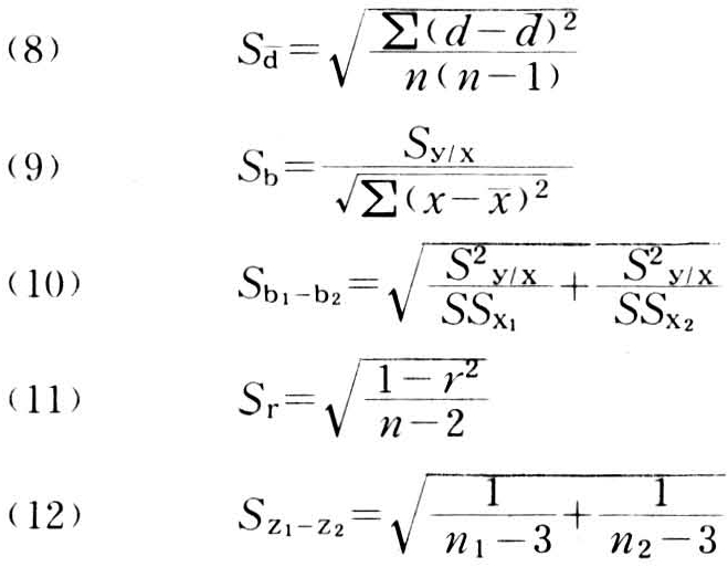
统计数抽样分布的标准差。它度量统计数的抽样误差,从而说明所得统计数的可靠性和精确度,并成为统计推断的重要依据。根据不同的统计数分布,较常用的标准误(采用较通用的简称)有:平均数标准误平均数差数标准误,差数均数标准误,回归系数的标准误Sb,回归系数差数标准误Sb1-b2,相关系数的标准误Sr,相关系数差数标准误Sr1-r2等。其定义式见(6)式~(12)式:

变异数

变异数