登录| 注册    
收藏  点赞 

逐步回归

初选预报因子、求相关系数,逐步回归引入各预报因子和建立方程四个大步骤。初选预报因子和预报量实例:样本数N=18,i=1、2、……5,其中x=x1,x2,x3,x4为预报因子,x5=y为预报量。求算相关系数和相关矩阵①先计算下列各数:Σx;x;Σxx(j=1,2,3,4,5)(i≠j);。计算各变量组合的相关系数: 逐步回归 排列成相关矩阵R(0)

选择对预报量作用显著的预报因子建立多因子回归预报方程的过程,即按预报因子(x)对预报量(y)作用的显著程度,从大到小依次将因子逐个引入回归方程,当先引入的因子因后引入的因子而变得不显著时,随时将其从回归方程中剔除,这样每引入一因子或剔除一因子都算作一步,每一步前后都作F检验,以保证每次在新的显著因子引入以前,方程中只含有显著因子,直至无新因子可引入方程时为止,最后建立多因子回归方程。其过程可分为初选预报因子、求相关系数,逐步回归引入各预报因子和建立方程四个大步骤。

初选预报因子和预报量

实例:样本数N=18,i=1、2、……5,其中x=x1x2x3x4为预报因子,x5=y为预报量。

求算相关系数和相关矩阵

①先计算下列各数:Σxx;Σxxj=1,2,3,4,5)(ij);。计算各变量组合的相关系数:

逐步回归

排列成相关矩阵R(0),组成R(0)矩阵的元素为r(0),即R(0)=(r(0)),右上角(0)示零次计算。

逐步回归

逐步回归计算

先确定显著性标准F*值,再逐步引入各预报因子。

确定F*

根据自由度和给定显著水平,查F分布表,所获F值可作为检验预报因子显著性的标准,即F*F**表极显著)。

选取第一个因子

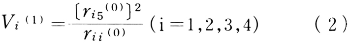
①对所有因子x计算第一步方差贡献(即偏回归平方和V(1))。

逐步回归

R(0)中有关数值代入(2)式,求出各因子的V(1)值,选出V(1)值最大的因子,作F显著性检验:

逐步回归

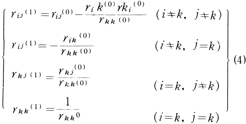
F(1)F*,则k因子对预报量显著,可引入回归方程;②为得到因子引入方程后的结果,矩阵R(0)应变换为新矩阵R(1),其元素r(1)按下式计算:

逐步回归

设入选因子为x2,则k=2。将计算结果填入新矩阵R(1);③对新建立的回归方程进行方差分析,检验是否显著。本例引入1个因子x2后,回归方程只含有1个自变量x2,其回归系数b(1)2=r(1)25,剩余平方和Q(1)=r(1)55。方差分析表明回归效果极显著(见表)。

方差分析表(表内数字系实例计算值)

选取第二个因子

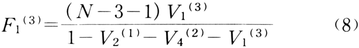
因为此时剔除已入选因子的一步可省去,所以,①对所剩3个因子计算第二步方差贡献V(2),参照(2)式计算,此时i=1,3,4,因x2已入选。从Vi(2)各值中选最大的,设V(2)4最大,应作F(2)4检验。F(2)4按下式计算:

逐步回归

F(2)4F*,表明x4可引入回归方程;②x4引入方程后,矩阵R(1)经变换为R(2)=(r(2)ij),依(4)式变化后计算,即将其中r(1)ij换为r(2)ijr(0)ij换为r(1)ij,此时k=4。将计算结果填入R(2);③回归方程引入了x2x4两个因子,其回归系数分别为b(2)2=r(2)25b(2)4=r(2)45剩余平方和Q(2)2=r(2)55。自由度f1=2,f2=N-1-1-1=15。进行方差分析结果表明回归效果极显著,x2x4皆入选。

选取第三个因子

①此时回归方程包含x2x4两个因子,各自作方差贡献及显著性测定,以剔除已入选的不显著因子:

逐步回归

V(2)i值求出后,按下式计算F(2)i值:

逐步回归

F(2)2F*F(2)4F*,表明x2x4对预报量有显著作用,不必剔除;②检验x1x2能否进入回归方程,计算两因子的方差贡献,并测定显著性:

逐步回归

若得V(3)1>V(3)3,则先对V(3)1作F检验:

逐步回归

F(3)1F*,故因子x1仍可引入方程。经矩阵变换,组成三因子回归方程,并对方程作F检验,若F(3)2F(3)4F(3)1均大于F*,表明三因子均合格,则可考虑再引入新因子。若x1引入后,使原有的x2(或x4)不合格子,则应将其剔除,剔除后再对x4(或x2x1二因子的回归方程作方差分析和F检验,如x4(或x2)和x1合格,才能考虑再引入新因子。其余依此类推,直到不显著因子都已剔除,也再无新因子引入为止。

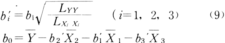
建立回归方程

可分四步:①计算回归系数:将标准化的回归系数bi转化为原单位bi

逐步回归

②计算复相关系数及剩余标准差:

逐步回归

剩余平方和S=S·r(5)55

回归平方和S=S(1-r(5)55

逐步回归

③查复相关系数检验表,确定其相关显著性;④建立回归方程:

y=b1x1+b2x2+b3x3+b0