登录| 注册    
收藏  点赞 

种群死亡率

在一定时间内种群的死亡数占初始数量的百分率。死亡率可分为:①实际死亡率(或生态死亡率)是指在一定环境条件下的死亡率,它是随时间、条件而变化的;②最小死亡率(或生理死亡率)是指在最适环境条件下的死亡率,它决定于生理上的寿命,即该死亡率对于一个种群来说可以看作是一个常数。由于种群年龄结构不同,死亡率差异甚大,一般多采用特定年龄死亡率表示。

在一定时间内种群的死亡数占初始数量的百分率。死亡率可分为:①实际死亡率(或生态死亡率)是指在一定环境条件下的死亡率,它是随时间、条件而变化的;②最小死亡率(或生理死亡率)是指在最适环境条件下的死亡率,它决定于生理上的寿命,即该死亡率对于一个种群来说可以看作是一个常数。

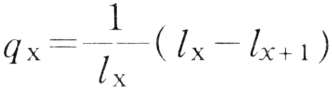
由于种群年龄结构不同,死亡率差异甚大,一般多采用特定年龄死亡率表示。即x年龄在短暂的时间区间内死亡个体数,除以在初始时间内x年龄还活着的个体数之商。即:

种群死亡率

种群死亡率

其中 l=l-1-d-1

在生态学研究中常用存活率或生存率(s)代替死亡率。特定年龄x的存活率为:

SX=1-qx