登录| 注册    
收藏  点赞 

种群分布型

在一定时间和空间内个体群的分布形式。具有两个含义:其一是指生物在某一时刻位置的排列方式,反映生物的空间结构,或称空间格局(spatial pattern),另一是在统计学上反映抽样单位的抽样性质和数量,指抽样单位中所得随机变量取各种可能值的概率分配方式,或称空间分布(spatial distribution)。研究昆虫种群的空间分布型有助于制订正确的抽样方案与种群数量估计。

在一定时间和空间内个体群的分布形式。具有两个含义:其一是指生物在某一时刻位置的排列方式,反映生物的空间结构,或称空间格局(spatial pattern),另一是在统计学上反映抽样单位的抽样性质和数量,指抽样单位中所得随机变量取各种可能值的概率分配方式,或称空间分布(spatial distribution)。研究昆虫种群的空间分布型有助于制订正确的抽样方案与种群数量估计。如为随机分布时,则可用随机抽样方法;如为聚集分布时,则宜用分层随机抽样等方法抽样调查。也有助于了解昆虫的猖獗,扩散行为。昆虫的空间分布型,不但因物种而异,且同一种群也会因虫龄、密度或生境条件不同而有差别(见)。昆虫种群空间分布型可分为随机分布(random distribution)和聚集分布(aggregated distribution)两类。

随机分布

昆虫种群内各个体间具有相对的独立性,不相互吸引或相互排斥,种群中的个体占据空间任何一点的概率相等,任何一个体的存在决不影响其他个体的分布。属于这类分布的有泊松分布(poisson distribution),如三化螟、玉米螟卵块的格局等(图a)。泊松分布因均数与方差相等(),故其概率公式中仅一个参数(m):

种群分布型

式中 Px为某种取样单位中,有x个个体的概率(x=0,1,2,……);m为总体均数,可由样本均数代表;N为取样单位数;NP为理论频数;e为自然对数的底(e= 2.71828…)。

聚集分布

种群内个体间互不独立,可因环境的不均匀或生物本身的行为等原因,呈现明显的聚集现象。总体中一个或多个个体的存在影响其他个体在同一取样单位中的出现概率,其均数()都小于方差(s2)。

是一种非随机分布。属于这类分布的有:奈曼分布(Neyman’s distribution)、P—E核心分布(Polya-Eggenberger distribution);泊松—正二项分布(Poisson-binomial distribution)和负二项分布(negative binomial distribution)。

奈曼分布

奈曼1939年提出。种群格局非随机,呈核心状格局,但核心间的格局是随机的,核心的大小相等(图b)。奈曼分布依据参数n的不同又可分为不同的类型(如对应n=0、1、2为A、B、C型等)。其理论公式为:

NP0=Nexp(-m1e(0)

种群分布型

式中

种群分布型

k>1时

f+1)(0)=(m2+n+kf(0)-km2f-1)(0)

F0=f′(0)=(m2+nf(0)-n

F1=〔(m2+n2+nf(0)-n〔(m2+n)+1〕

种群分布型

式中 为平均数;S2为方差;k为计算次数;n为参数;NPx为理论频数。

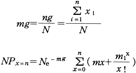
P—E核心分布

基本性质与奈曼(Neyman)分布相同,但其核心群大小相差较大(图C)。当密度增大时常发生核心群邻接合并,有逐步趋向负二项分布的趋势。可认为是泊松分布和正二项分布的复合所致。其理论公式为:

种群分布型

式中 mgng为参裂;x为样方虫数;N为样方总数;mifi/N;为理论频次数。

负二项分布

种群空间格局极不均匀,呈嵌纹状图形(图d),故又称嵌纹分布,如棉铃虫卵、幼虫,小地老虎幼虫,稻纵卷叶螟卵、幼虫,红蜘蛛等都属此类型。其理论公式为:

Nq-p-k

各项展开后

种群分布型

式中 NP为理论频数;x=0,1,2,……为取样单位内个体数;kqp均为参数,k=x/pq=1+p

泊松一二项分布

由麦圭尔(McGuire,et al.)1957年提出。这种分布型随参数的不同,可得到各种n型的泊松一二项式分布。当n→∞时,趋于奈曼分布;当n→0时,趋于负二项式分布。故处于奈曼分布与负二项分布之间。其理论公式为:

F0=e-(1-x=0)

种群分布型

p--1)q-+Fx>0)

种群分布型

昆虫种群常见4种分布型