登录| 注册    
收藏  点赞 

内禀增长率

表示在最适环境条件下,维持最适生活水平的动物种群所具有的最大增长能力,即在食物极丰富,空间无限制,气候条件适宜,无天敌袭击和其他物种竞争的情况下,具有稳定年龄结构和最适密度的动物种群表现出的最大瞬间增长率。内禀增长率是物种的特征之一,是影响种群数量的内在原因,通常用r表示。

表示在最适环境条件下,维持最适生活水平的动物种群所具有的最大增长能力,即在食物极丰富,空间无限制,气候条件适宜,无天敌袭击和其他物种竞争的情况下,具有稳定年龄结构和最适密度的动物种群表现出的最大瞬间增长率。内禀增长率是物种的特征之一,是影响种群数量的内在原因,通常用r表示。r不仅考虑了动物的出生率、死亡率,还考虑了种群的年龄结构、产卵力、发育速率等因素,能敏感地反映出环境的细微变化,因此比用出生率描述种群的繁殖能力更精确。由于是在实验室人工控制的最适条件下获得的,所以它与自然条件下实际种群增长率rr有一定的区别。r总是正值,而r可正亦可负。估计r的公式已有多种,较重要的和常用的有:①估计的近似值公式

r=(lnR)/T

式中 净生殖率

内禀增长率

平均世代周期

内禀增长率

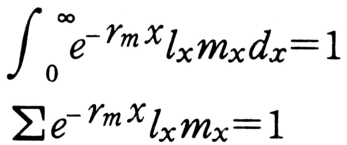
其中 lx为任一个体存活到年龄为x的概率,m为年龄x的雌虫平均产雌率。②估计精确值公式,可由解下列方程得出:

其中,由0到∞为动物生殖期,用电子计算机较易将r估出。

在实际工作中,常应用接近于r的种群实际增长率r,其公式为:

r=(lnR)/Tc

式中 R0为净生殖率,T为区组世代周期或在生殖期区组中雌虫平均年龄。rr的关系为:

内禀增长率

式中 σ2lm分布的方差,即

σ2=(Σx2lm/R)-T2

R.May 1976年提出TT关系的公式为

内禀增长率

σ2为方差。并指出只有当lm分布具有高方差时,尤其是偏离正态分布显著时,两者的差异才是很显著的。