登录| 注册    
收藏  点赞 

彭曼—蒙蒂思方程

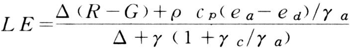
将它用于叶片,提出叶片的潜热通量密度方程;1965年蒙蒂思将它应用于植物群体,被称为彭曼—蒙蒂思方程: 彭曼—蒙蒂思方程 E:蒸腾率(千克·米-2·秒-1);△:空气饱和水汽压随温度的变率(百帕·开-1);R:净辐射通量密度(瓦·米-2),向地面为正;G:土壤热通量密度(瓦·米-2),向下为正;ρ:空气密度(千克·米-3)

equation)

表示植物群体蒸腾的潜热通量密度方程,为对彭曼公式(见可能蒸散量)的扩充。

1802年J.道尔顿提出水面蒸发的经验公式。1926年I.S.鲍恩提出蒸发面上显热与潜热的分配可根据空气的温、湿度梯度确定,1939年C.W.桑斯韦特等从气层水汽压、风的梯度计算草地蒸散。1948年H.L.彭曼协调水面蒸发的热力学和空气动力学,提出计算水面蒸发和草地蒸腾的经典公式(彭曼公式):1953年彭曼将它用于叶片,提出叶片的潜热通量密度方程;1965年蒙蒂思将它应用于植物群体,被称为彭曼—蒙蒂思方程:

彭曼—蒙蒂思方程

E:蒸腾率(千克·米-2·秒-1);△:空气饱和水汽压随温度的变率(百帕·开-1);R:净辐射通量密度(瓦·米-2),向地面为正;G:土壤热通量密度(瓦·米-2),向下为正;ρ:空气密度(千克·米-3),(p:空气定压比热(焦·千克-1·开-1);ea百叶箱气温下的空气饱和水汽压(百帕);ed:水汽压(百帕):L:汽化潜热(焦·千克-1);γ=cpP/0.622L:干湿表常常数、p为气压;γa:总体空气动力学扩散阻抗(秒·米-1)γc:总体冠层扩散阻抗(秒·米-1)。

这方程是在消除难测定的表面温度、湿度后,从能量平衡方程和扩散阻抗方程得出。彭曼公式应用于植物时实际上是将叶的水分看成叶面一层水,这时γc=0,只能应用于水分充足的情形。方程中的ρcpa用一经验风函数f(u)代替,G未考虑。水分供应不充足时,气孔调节张开度以节制蒸腾,方程包含γc来计入这一生理控制,减小彭曼方程的局限性。冠层阻抗(作物阻抗)γc用平均气孔(生理)阻抗γs除以叶面积指数得出。γs用气孔阻抗计测定。这方程已经在多种作物田间试中与蒸散计作比较,证明性能良好。只要有相应的阻抗值,方程对任何植物都可用。γc为最小值时,方程算得的是可能(最大)蒸腾。γc土壤水势的关系尚待研究。这方程已在土壤——植物——大气系统的模拟模式中广泛采用。英国气象局已应用于业务工作。