登录| 注册    
收藏  点赞 

可能蒸散量

由大气状况决定的控制植物蒸散过程的能力或提供蒸发消耗的潜在能量。这种能量用单位时间内所蒸发、蒸腾水量(毫米)表示,也称为最大可能蒸散量或潜在蒸散量。提出这个量在农田灌溉、地气水分循环、气候和农业气候的干湿季节划分和区划研究中均有十分重要意义。自然界中土面的,水面的蒸发或植被的蒸腾均受两方面条件的制约,它一方面是决定于蒸发物的含水量,另一方面决定于可供蒸发消耗的能量,即大气蒸发能力。

由大气状况决定的控制植物蒸散过程的能力或提供蒸发消耗的潜在能量。这种能量用单位时间内所蒸发、蒸腾水量(毫米)表示,也称为最大可能蒸散量或潜在蒸散量。提出这个量在农田灌溉、地气水分循环、气候和农业气候的干湿季节划分和区划研究中均有十分重要意义。

自然界中土面的,水面的蒸发或植被的蒸腾均受两方面条件的制约,它一方面是决定于蒸发物的含水量,另一方面决定于可供蒸发消耗的能量,即大气蒸发能力。同是水面蒸发,在不同的气候区域,由于大气的蒸发能力不同而有很大差别。另外,在同一地区,即大气蒸发能力相同的条件下,因土面、水面或植被等下垫面可以提供蒸发的水量不同,其蒸发、蒸腾量亦有很大差异。因此,大气蒸发能力是一个重要的天气、气候特征量。按照定义,大气蒸发能力由下式计算:

可能蒸散量

式中 L为蒸发潜热;E为大气蒸发能力,以水深(毫米)表示;R为下垫面辐射平衡值,K为湍流热通量。蒸发能力的数值与大水体的水面蒸发量相接近,但不完全相等。在春季升温季节,大气所含能量有一部分消耗于加热下垫面,即有一个向下的土壤热通量,因此水面蒸发量小于大气蒸发能力。在秋季降温季节,下垫面释放一部分能量,即有向上的土壤热通量,因此水面蒸发量大于大气蒸发能力。全年的大气蒸发能力则等于水面蒸发量

计算水面蒸发、植被可能蒸散的研究很多,英国气象学家H.L.彭曼提出了一个计算蒸发能力(即水面蒸发)E0的半经验半理论公式(彭曼公式):

可能蒸散量

式中 E0单位为毫米水/日;R0=R/L;⊿为饱和水汽压-温度曲线的斜率;γ=称为干湿表常数;Cp为定压比热;p为大气压,在海平面条件下γ≈0.65百帕/℃;Ea为空气的干燥力(drying power)。Ea由下式计算:

Ea=(ea-ed)f(u)

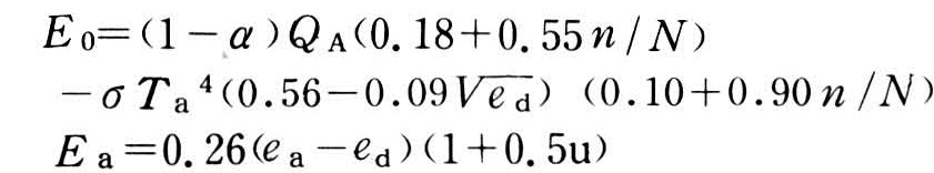
式中(ea-ed)为饱和差;ea为饱和水汽压;ed为实际水汽压;f(u)为道尔顿蒸发量经验公式的风速函数。彭曼依据英国和瑞典的资料得出适于北欧的E0和Ea的计算公式:

可能蒸散量

式中 α为反射率;QA为理论太阳辐射;n/N为日照百分率;σ为斯蒂芬-波尔兹曼常数;Ta为气温,用绝对温标;ea、ed单位用百帕;u为2米高处的风速,单位用米/秒(如用气象站风速须换算)。

彭曼的水面蒸发E0乘一系数f即求出绿色作物田间的可能蒸散量ET,f从田间试验中求得。计算可能蒸散量采用彭曼公式的很多,不少国家的研究者也进行本地区的田间观测试验。联合国粮农组织为了提供确立作物需水量和推广灌溉技术所需的可能蒸散量依据,曾收集世界各地的较好的试验结果,综合成一个修改的彭曼公式,供本地区无Ea值测定的地方使用。

ET0=C〔W·Rn+(1-W)·f(u)·(ea-ed)〕公式中的f(u)综合各地结果修改为:

可能蒸散量

u为24小时风程,以公里/日为单位。修正公式中包括一订正系数C,以考虑昼夜风速差异的影响,Rn为草面净辐射W=⊿/(⊿+γ),此式得出的可能蒸散量称为标准蒸散量(ET0),它的定义是:株高8至15厘米、高度均一、土壤水分不短缺的完全覆盖广大地面的绿色草面上的蒸散量(毫米/日)。联合国粮农组织搜集综合许多作物的作物系数Kc(见附表5)用来求算大田作物在水分条件满足时的最大蒸散量(ETm),ETm=Kc·ET0

除彭曼方法外,联合国粮农组织还推荐:①布兰尼-克里德尔(Blaney-Criddle)法;②太阳辐射法;③蒸发皿蒸发量法。