登录| 注册    
收藏  点赞 

高温促进率

高温促进率大的,表示高温促进抽穗程度大,即感温性强,反之,则感温性弱。通过试验资料的比较,全部供试品种的高温促进率为-5.0%~45.0%,按感温性强弱一共分为九级。高温促进率这一概念,可用于各类作物对温度条件的反应,考虑到日照条件对作物发育速度的类似作用,在研究促进率的问题时,亦可综合研究光、温促进率。

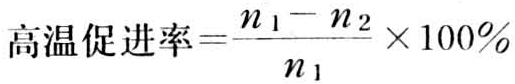
提高温度促进植物抽穗、开花的速度比率。在一定的温度范围内,随着温度的升高,农作物播种至抽穗所需要的天数就减少,所以它可用所减少的抽穗天数与原天数之比来表示。

1961年丁颖等以水稻为试验作物,分别在云南蒙自和广州同时播种,两地纬度相近,可照时数基本一致,影响水稻发育速度主要是温度条件,蒙自水稻出苗至抽穗的平均温度为22.3℃,广州为24.5℃,如蒙自水稻播种至抽穗的日数为n1,广州为n2,则

高温促进率

高温促进率大的,表示高温促进抽穗程度大,即感温性强,反之,则感温性弱。通过试验资料的比较,全部供试品种的高温促进率为-5.0%~45.0%,按感温性强弱一共分为九级。高温促进率这一概念,可用于各类作物对温度条件的反应,考虑到日照条件对作物发育速度的类似作用,在研究促进率的问题时,亦可综合研究光、温促进率。