登录| 注册    
收藏  点赞 

滞后演算法

为汇流曲线t时刻的纵标;τ为推移参数,其初值可选取入流、出流起涨传播时间;K为坦化参数,是入流推移τ后,其蓄量与出流关系线的斜率。中国在20世纪70年代从生产实践中应用于多河段发展成n、τ、K三参数的迟滞瞬时单位线法

利用天然河道洪水波自上游向下游传播中推移和坦化两种作用的概念,求得汇流曲线来进行河道洪水演算的方法。该法的基本概念认为,推移作用表示水流流经一联串“线性渠道”,其入流过程往下推移而不改变其形状,故它反映洪水波的滞后现象。坦化作用表示入流过程流经一联串“线性水库”而展平,故它反映洪水波的坦化。一个“线性渠道”和一个“线性水库”串联为一个子河段,那么瞬时单位入流量流经一个子河段形成的汇流曲线(即迟滞瞬时单位线)。公式为:

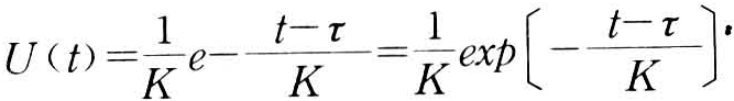
滞后演算法

式中 U(t)为汇流曲线t时刻的纵标;τ为推移参数,其初值可选取入流、出流起涨传播时间;K为坦化参数,是入流推移τ后,其蓄量与出流关系线的斜率。

中国在20世纪70年代从生产实践中应用于多河段发展成n、τ、K三参数的迟滞瞬时单位线法,其公式为:

滞后演算法

上式瞬时表示单位入流经过n个“线性渠道”和n个“线性水库”相串联组成的几个子河段所形成的汇流曲线,其出流量等于入流量乘汇流曲线纵标的和。式中γ为伽马函数。参数n为子河段数,τ、K为每个子河段的推移、坦化参数,且各子河段的每种参数都相等,三个参数均可以用矩法及水文学方法确定,或两法结合起来确定。杜格(J.C.I.Dooge)则用宽广形河道初始水流的水力要素来确定参数:

滞后演算法适用于河道底坡较陡的上游山区河道,以及中游较长的河段,或者入流涨水历时远远小于入流和出流的平均滞后时间的河段,例如在中国汉江上、中游河段,应用效果较好。