登录| 注册    
收藏  点赞 

有限差分法

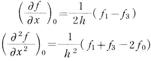
把微分方程近似地用差分方程(代数方程)代替,并进行求解的方法,是微分方程的一种近似数值解法。对于椭圆型、双曲型和抛物型等方程的求解,都可以应用。应用有限差分法,首先要求在微分方程的定义域上绘出等间距的平行坐标轴的网格,如图所示。应用泰勒级数展开式,略去其中三阶以上的余项,就可以将结点o处的x向导数用结点的函数值fi和网格间距h来表示

把微分方程近似地用差分方程(代数方程)代替,并进行求解的方法,是微分方程的一种近似数值解法。对于椭圆型、双曲型和抛物型等方程的求解,都可以应用。

应用有限差分法,首先要求在微分方程的定义域上绘出等间距的平行坐标轴的网格,如图所示。应用泰勒级数展开式,略去其中三阶以上的余项,就可以将结点o处的x向导数用结点的函数值fi和网格间距h来表示,即

等间距h的平面差分网格图

有限差分法

这就是抛物线差分公式(又称中心差分公式)。此外,还有向前和向后线性差分公式。仿照上述的基本差分公式,可以导出y向导数和高阶导数的差分公式。然后根据这些差分公式,将微分方程及其边界条件化为差分方程(代数方程)组,并进行求解而得出各点处函数值fi

弹性力学中的扭转问题、平面问题、薄板弯曲问题,薄壳问题,以及各种场问题,如温度场问题、电磁场问题、流体力学问题等,都可以用有限差分法进行求解。

把微分方程化为差分方程进行求解,要考虑差分格式的稳定性和收敛性的问题。满足稳定性和收敛性条件的差分格式,当网格的间距取得足够小时,能得出精度较好的逼近真解的解答。应用有限差分法所建立的代数方程组,当方程的数目较多时,可以用松弛法进行计算,更可以借助于电子计算机迅速求得结果。对于随时间变化的问题,如非定常温度场及其温度应力问题,动力学问题,徐变力学问题,非定常流体力学问题等,通常联合应用有限差分法和有限单元法进行求解。